Blank Texas residential property affidavit T-47 PDF Form

Blank Texas residential property affidavit T-47 PDF Form

The Texas residential property affidavit T-47 form is a crucial document used in real estate transactions to confirm the ownership and condition of a property. It serves as a declaration by the property owner, providing essential information to potential buyers and lenders. Understanding this form is vital for anyone involved in Texas real estate, so take action now and ensure you are informed.

Fill out the T-47 form today by clicking the button below.

The Texas residential property affidavit T-47 form plays a crucial role in real estate transactions within the state. This form serves as a declaration by the property owner, affirming the status and condition of the property in question. It typically includes information regarding any existing liens, easements, or other encumbrances that may affect the property. By providing a clear and accurate account of these factors, the T-47 form helps ensure transparency between buyers and sellers. Additionally, it is often required by title companies during the closing process to facilitate the issuance of title insurance. The completion of this affidavit is essential for maintaining the integrity of property records and protecting the interests of all parties involved in the transaction. Understanding the significance and requirements of the T-47 form can lead to smoother real estate dealings and prevent potential disputes down the line.

Document Sample

 

 

 

 

 

 

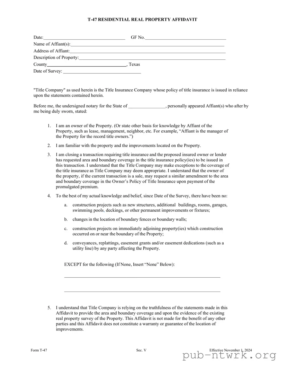
T-47 RESIDENTIAL REAL PROPERTY AFFIDAVIT

Date:

 

 

 

GF No.

 

Name of Affiant(s):

 

 

 

 

 

 

 

Address of Affiant:

 

 

 

 

 

 

 

Description of Property:

 

 

 

 

 

 

County

 

 

 

 

, Texas

 

Date of Survey: __________________________________

"Title Company" as used herein is the Title Insurance Company whose policy of title insurance is issued in reliance upon the statements contained herein.

Before me, the undersigned notary for the State of

 

, personally appeared Affiant(s) who after by

me being duly sworn, stated:

 

 

1.I am an owner of the Property. (Or state other basis for knowledge by Affiant of the Property, such as lease, management, neighbor, etc. For example, “Affiant is the manager of the Property for the record title owners.”)

2.I am familiar with the property and the improvements located on the Property.

3.I am closing a transaction requiring title insurance and the proposed insured owner or lender has requested area and boundary coverage in the title insurance policy(ies) to be issued in this transaction. I understand that the Title Company may make exceptions to the coverage of the title insurance as Title Company may deem appropriate. I understand that the owner of the property, if the current transaction is a sale, may request a similar amendment to the area and boundary coverage in the Owner’s Policy of Title Insurance upon payment of the promulgated premium.

4.To the best of my actual knowledge and belief, since Date of the Survey, there have been no:

a.construction projects such as new structures, additional buildings, rooms, garages, swimming pools, deckings, or other permanent improvements or fixtures;

b.changes in the location of boundary fences or boundary walls;

c.construction projects on immediately adjoining property(ies) which construction occurred on or near the boundary of the Property;

d.conveyances, replattings, easement grants and/or easement dedications (such as a utility line) by any party affecting the Property.

EXCEPT for the following (If None, Insert “None” Below):

___________________________________________________________________

___________________________________________________________________

5.I understand that Title Company is relying on the truthfulness of the statements made in this Affidavit to provide the area and boundary coverage and upon the evidence of the existing real property survey of the Property. This Affidavit is not made for the benefit of any other parties and this Affidavit does not constitute a warranty or guarantee of the location of improvements.

Form T-47

Sec. V

Effective November 1, 2024

6.I understand that I have no liability to Title Company should the information in this Affidavit be incorrect other than information that I personally know to be incorrect and which I do not disclose to the Title Company.

I declare under penalty of perjury that theforegoing is true and correct.

Signed:

__________________________________________

Affiant

I declare under penalty of perjury that theforegoing is true and correct.

Signed:

_________________________________________

Affiant

SWORN AND SUBSCRIBED thisday of, 20 .

________________________________________

Notary Public

Form T-47

Sec. V

Effective November 1, 2024

File Specifics

Fact Name Description
Purpose The Texas Residential Property Affidavit T-47 form is used to provide a sworn statement regarding the property ownership and the absence of certain claims against the property.
Governing Law This form is governed by the Texas Property Code, specifically Section 12.001.
Who Uses It Property owners, buyers, and lenders typically utilize the T-47 form during real estate transactions.
Filing Requirement The T-47 form must be filed with the county clerk's office where the property is located, often required during the closing process.
Affidavit Content The affidavit includes information about property boundaries, improvements, and any existing liens or encumbrances.
Legal Implications Filing a false affidavit can lead to legal consequences, including potential civil liability for fraud.

How to Use Texas residential property affidavit T-47

Completing the Texas residential property affidavit T-47 form is a straightforward process that requires attention to detail. After filling out the form, it will need to be submitted to the appropriate authority for processing.

  1. Obtain a copy of the Texas residential property affidavit T-47 form. This can typically be found online or at your local county clerk's office.
  2. Begin with the first section, which asks for the property owner's name. Clearly print your full legal name as it appears on the property deed.
  3. Next, provide the property address. Include the street number, street name, city, state, and zip code.
  4. Fill in the section regarding the legal description of the property. This information can usually be found on your property deed or tax records.
  5. Indicate the type of property ownership. Choose whether you own the property individually, jointly, or in another capacity.
  6. In the next section, provide the date of acquisition. This is the date you purchased or otherwise obtained the property.
  7. Complete the section regarding any outstanding liens or mortgages on the property. Be honest and accurate in your disclosures.
  8. Sign and date the affidavit at the designated area. Ensure that your signature matches the name provided earlier in the form.
  9. If required, have the affidavit notarized. This step may vary based on local requirements, so check beforehand.
  10. Make copies of the completed form for your records before submission.
  11. Submit the form to the appropriate county office, along with any required fees or additional documentation.

Your Questions, Answered

  1. What is the Texas residential property affidavit T-47 form?

    The T-47 form is a document used in Texas real estate transactions. It serves as an affidavit that provides information about the property and its ownership. This form is typically required by title companies to confirm that the seller is the rightful owner of the property and to disclose any changes in the property since the last title policy was issued.

  2. Who needs to fill out the T-47 form?

    The T-47 form must be filled out by the seller of the residential property. It is important for the seller to provide accurate and complete information regarding the property. This ensures that the title company can issue a clear title to the buyer.

  3. What information is required on the T-47 form?

    The T-47 form requires several key pieces of information, including:

    • The name of the property owner.
    • The property address.
    • A description of the property.
    • Details about any improvements or changes made to the property since the last title policy.
    • Information about any liens or encumbrances on the property.

    Providing accurate information is crucial for a smooth transaction.

  4. Why is the T-47 form important?

    The T-47 form is essential for protecting both the buyer and the seller in a real estate transaction. It helps establish clear ownership and discloses any potential issues with the title. By completing this form, sellers help ensure that buyers can obtain title insurance, which safeguards their investment in the property.

  5. When should the T-47 form be submitted?

    The T-47 form should be submitted as part of the closing process, ideally before the closing date. It is best to complete the form as soon as the seller has accepted an offer on the property. This allows sufficient time for the title company to review the information and address any potential issues.

  6. What happens if the T-47 form is not completed?

    If the T-47 form is not completed, it may delay the closing process. Title companies rely on this form to verify ownership and assess any risks associated with the property. Without it, the buyer may face challenges in obtaining title insurance, which can jeopardize the sale.

  7. Can the T-47 form be modified after submission?

    Once the T-47 form has been submitted, it is generally not advisable to modify it. If there are changes that need to be made, the seller should communicate with the title company immediately. They can provide guidance on how to address any necessary updates or corrections.

Common mistakes

  1. Incomplete Information: Many individuals fail to provide all necessary details. Omitting crucial information, such as the property address or the names of parties involved, can lead to delays or rejection of the affidavit.

  2. Incorrect Signatures: Signatures must match the names listed on the form. If the signer is not the property owner, this can cause issues. Ensure that all required parties sign the document.

  3. Not Notarizing the Document: A common mistake is neglecting to have the affidavit notarized. This step is essential for the affidavit to be legally binding and recognized by authorities.

  4. Failure to Check for Updates: Laws and forms can change. Some individuals submit outdated versions of the T-47 form, which can result in complications. Always verify that you are using the most current version.

  5. Ignoring Instructions: Each section of the T-47 form has specific instructions. Failing to follow these can lead to errors. Read the guidelines carefully to ensure proper completion.

Documents used along the form

The Texas residential property affidavit T-47 form is an important document in real estate transactions. It helps establish the ownership and status of a property. Alongside this form, several other documents are often used to provide additional information and clarity. Below is a list of related forms and documents that may be required during the process.

  • Deed: This legal document transfers ownership of the property from the seller to the buyer. It outlines the details of the transaction and includes a description of the property.
  • Title Commitment: This document is issued by a title company and outlines the terms under which the title insurance will be issued. It provides information about any liens or encumbrances on the property.
  • Property Survey: A survey shows the boundaries and dimensions of the property. It may also indicate any easements or encroachments that could affect the ownership or use of the property.
  • Closing Disclosure: This document outlines the final terms of the mortgage loan. It includes details about the loan amount, interest rate, and closing costs, ensuring that all parties are informed before the transaction is finalized.
  • Homeowner's Association (HOA) Documents: If the property is part of an HOA, these documents provide information about the rules, regulations, and fees associated with the community.
  • Inspection Report: This report summarizes the findings of a professional inspection of the property. It highlights any issues that may need to be addressed before the sale is completed.

Understanding these documents is crucial for anyone involved in a real estate transaction in Texas. Each plays a vital role in ensuring that the process is transparent and that all parties are protected.

Similar forms

The Texas residential property affidavit T-47 form is similar to the Texas Affidavit of Heirship. Both documents are used to clarify ownership of property, especially when the original owner has passed away. The Affidavit of Heirship establishes the heirs of a deceased property owner, providing legal recognition of their rights to the property. This can help prevent disputes among potential heirs and streamline the transfer of property ownership without going through probate court.

Another document akin to the T-47 form is the Texas Warranty Deed. This legal instrument is used to transfer property ownership from one party to another, guaranteeing that the seller has the right to sell the property. Like the T-47, the Warranty Deed provides assurances about the title of the property, ensuring that the buyer receives a clear title free of any undisclosed claims or liens. Both documents serve to protect the interests of the parties involved in a property transaction.

The Texas Quitclaim Deed is also similar to the T-47 form. This document transfers ownership of property without any warranties or guarantees about the title. While the Quitclaim Deed offers less protection than a Warranty Deed, it can be useful in situations where the parties know each other well, such as transferring property between family members. The T-47 form, on the other hand, provides a sworn statement regarding the property, which can add an extra layer of assurance about ownership.

The Texas Affidavit of Title is another document that shares similarities with the T-47 form. This affidavit is often used in real estate transactions to confirm the seller’s ownership and the status of the property title. It helps to affirm that the seller has the right to sell the property and that there are no outstanding claims against it. Both documents aim to clarify ownership and protect the interests of buyers and sellers in real estate transactions.

The Texas General Warranty Deed also bears resemblance to the T-47 form. Like the Warranty Deed, it conveys property ownership while providing a guarantee against any future claims on the property. The General Warranty Deed covers the entire history of the property, ensuring that the buyer is protected against any title defects that may arise from previous owners. Both documents serve to enhance the security of property transactions and provide peace of mind to buyers.

The Texas Special Warranty Deed is another document that aligns with the T-47 form. This deed transfers property ownership but limits the seller's warranty to the time they owned the property. It does not cover issues that may have arisen before the seller acquired the property. While it offers less protection than a General Warranty Deed, it still provides some assurance to the buyer. The T-47 form complements this by affirming the seller's ownership and the absence of claims during their ownership period.

The Texas Deed of Trust is also similar to the T-47 form, as both documents play essential roles in real estate transactions. A Deed of Trust secures a loan by placing a lien on the property, allowing the lender to take possession if the borrower defaults. While the T-47 form focuses on affirming ownership, the Deed of Trust establishes the relationship between the borrower and lender, ensuring that both parties understand their rights and responsibilities in the transaction.

Lastly, the Texas Residential Lease Agreement can be compared to the T-47 form in terms of clarifying property rights. While the T-47 focuses on ownership, the lease agreement outlines the terms under which a tenant may occupy a property. Both documents serve to protect the rights of the parties involved, ensuring that ownership and occupancy are clearly defined and legally recognized. They help to prevent misunderstandings and disputes over property rights, fostering a smoother relationship between landlords and tenants.

Dos and Don'ts

When filling out the Texas residential property affidavit T-47 form, it is important to follow certain guidelines to ensure accuracy and compliance. Here are five things you should and shouldn't do:

  • Do double-check all information for accuracy before submitting.
  • Do ensure that all required signatures are present.
  • Do provide clear and legible information to avoid confusion.
  • Don't leave any sections blank; fill in all applicable fields.
  • Don't submit the form without reviewing local filing requirements.

Misconceptions

The Texas residential property affidavit T-47 form is often misunderstood. Here are eight common misconceptions about this form:

  • Misconception 1: The T-47 form is only for new homeowners.
  • This is not true. The T-47 form can be used by any property owner who needs to clarify property boundaries, regardless of how long they have owned the property.

  • Misconception 2: You need a lawyer to complete the T-47 form.
  • While legal assistance can be helpful, it is not required. Many homeowners can fill out the form themselves with clear instructions.

  • Misconception 3: The T-47 form is the same as a survey.
  • This is incorrect. The T-47 form is an affidavit that provides information about the property, but it does not replace a professional survey.

  • Misconception 4: Filing the T-47 form guarantees a clear title.
  • Filing the T-47 does not guarantee that there are no title issues. It is simply a declaration about the property.

  • Misconception 5: The T-47 form is only for residential properties.
  • This is misleading. While it is commonly used for residential properties, it can also apply to certain types of commercial properties.

  • Misconception 6: You can only submit the T-47 form during a sale.
  • This is false. The form can be submitted at any time to clarify property boundaries or ownership issues.

  • Misconception 7: The T-47 form must be notarized.
  • Notarization is not a requirement for all submissions. However, having it notarized can add an extra layer of credibility.

  • Misconception 8: Once filed, the T-47 form cannot be changed.
  • This is not accurate. If there are errors or changes needed, you can file an amended form to correct the information.

Key takeaways

Filling out the Texas residential property affidavit T-47 form can seem daunting, but understanding its purpose and the key takeaways can simplify the process. Here are some essential points to keep in mind:

  • The T-47 form is primarily used to confirm the property’s boundary lines and the existence of any improvements on the property.
  • This affidavit is often required by title companies during real estate transactions to ensure that the title is clear.
  • It must be completed by the property owner or a person with authority to act on their behalf.
  • Accuracy is crucial; any discrepancies in the information provided can lead to delays in the closing process.
  • Be prepared to provide detailed descriptions of the property, including any structures, fences, or other significant features.
  • In Texas, the form must be notarized to be considered valid.
  • Submitting the T-47 form is typically a part of the closing documentation, so timing is important.
  • Keep a copy of the completed form for your records, as it may be needed for future reference.
  • Consulting with a real estate attorney or a title company can help clarify any questions you may have while filling out the form.
  • Remember that the T-47 form is a legal document; providing false information can have serious consequences.

By following these key takeaways, you can navigate the T-47 form with confidence and ease. Understanding its role in the real estate process can make a significant difference in your transaction experience.