Blank Maryland Domestic Partnership PDF Form

Blank Maryland Domestic Partnership PDF Form

The Maryland Domestic Partnership form is a legal document that allows couples to formally recognize their committed relationship and access benefits typically reserved for married couples. By completing this affidavit, partners affirm their mutual interdependence, shared residence, and financial support, establishing eligibility for various benefits. If you are ready to take this important step, please fill out the form by clicking the button below.

The Maryland Domestic Partnership form serves as a vital document for couples seeking to establish their relationship in a legally recognized manner. This form is particularly important for employees and retirees who wish to add their domestic partners and their dependents to their health benefits coverage. To complete the Affidavit for Domestic Partnership, both partners must confirm their eligibility by meeting several criteria, including age, relationship status, and the nature of their commitment. Specifically, both individuals must be at least 18 years old, not related by blood or marriage within a specified degree, and must not be involved in another marriage or partnership. The form requires proof of financial interdependence, which can be demonstrated through various documents, such as joint ownership of property or shared financial accounts. Additionally, it emphasizes the importance of a shared primary residence, supported by relevant documentation. For those looking to add dependents, the form outlines specific criteria that must be met, such as the relationship to the domestic partner and the dependent's marital status. Furthermore, there are tax implications to consider, as the form includes a section that may allow for certain dependents to qualify as tax dependents under specific conditions. Overall, the Maryland Domestic Partnership form is designed to ensure that couples can navigate their benefits while affirming their commitment to one another.

Document Sample

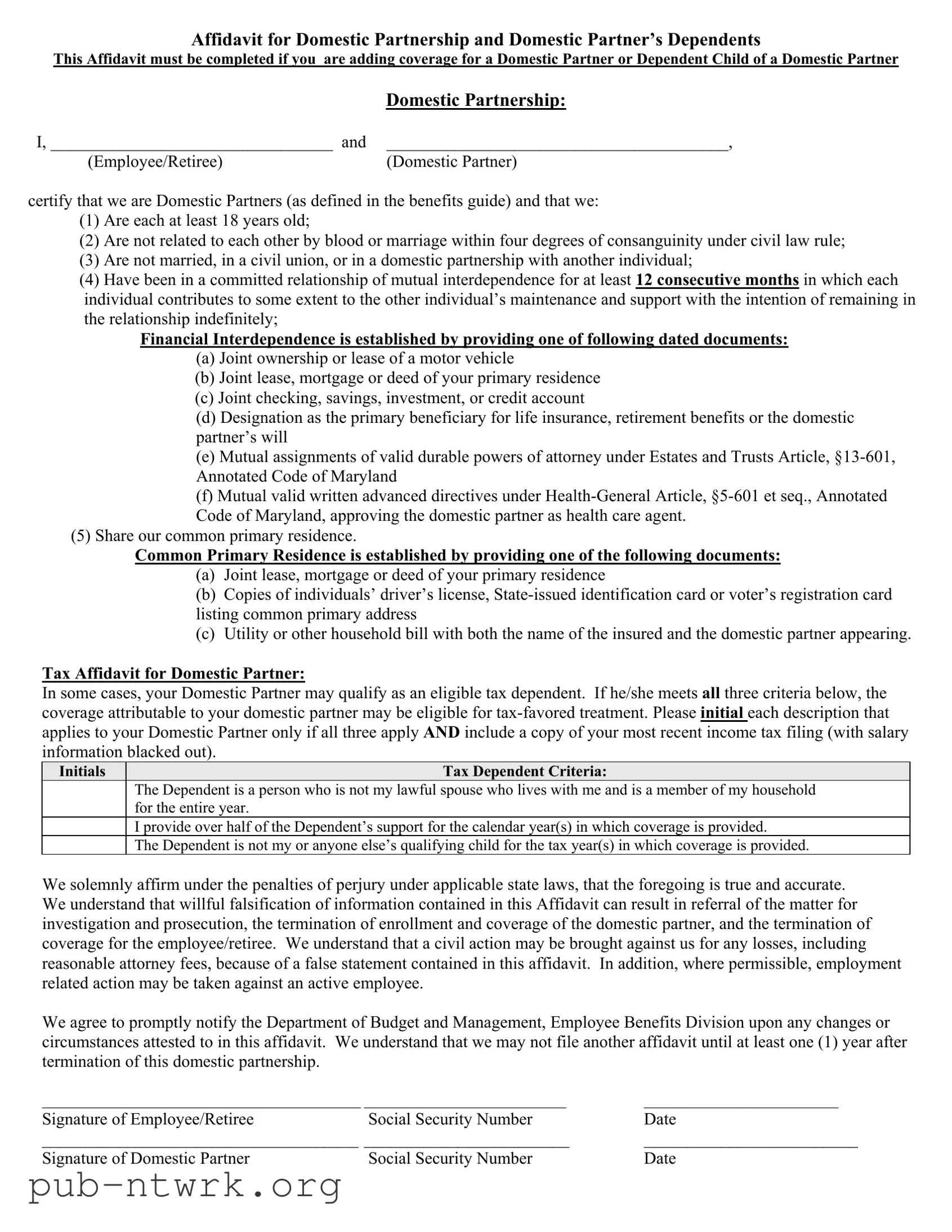
Affidavit for Domestic Partnership and Domestic Partner’s Dependents

This Affidavit must be completed if you are adding coverage for a Domestic Partner or Dependent Child of a Domestic Partner

 

Domestic Partnership:

I, _________________________________ and

________________________________________,

(Employee/Retiree)

(Domestic Partner)

certify that we are Domestic Partners (as defined in the benefits guide) and that we:

(1)Are each at least 18 years old;

(2)Are not related to each other by blood or marriage within four degrees of consanguinity under civil law rule;

(3)Are not married, in a civil union, or in a domestic partnership with another individual;

(4)Have been in a committed relationship of mutual interdependence for at least 12 consecutive months in which each individual contributes to some extent to the other individual’s maintenance and support with the intention of remaining in the relationship indefinitely;

Financial Interdependence is established by providing one of following dated documents:

(a)Joint ownership or lease of a motor vehicle

(b)Joint lease, mortgage or deed of your primary residence

(c)Joint checking, savings, investment, or credit account

(d)Designation as the primary beneficiary for life insurance, retirement benefits or the domestic partner’s will

(e)Mutual assignments of valid durable powers of attorney under Estates and Trusts Article, §13-601, Annotated Code of Maryland

(f)Mutual valid written advanced directives under Health-General Article, §5-601 et seq., Annotated Code of Maryland, approving the domestic partner as health care agent.

(5)Share our common primary residence.

Common Primary Residence is established by providing one of the following documents:

(a)Joint lease, mortgage or deed of your primary residence

(b)Copies of individuals’ driver’s license, State-issued identification card or voter’s registration card listing common primary address

(c)Utility or other household bill with both the name of the insured and the domestic partner appearing.

Tax Affidavit for Domestic Partner:

In some cases, your Domestic Partner may qualify as an eligible tax dependent. If he/she meets all three criteria below, the coverage attributable to your domestic partner may be eligible for tax-favored treatment. Please initial each description that applies to your Domestic Partner only if all three apply AND include a copy of your most recent income tax filing (with salary information blacked out).

Initials

Tax Dependent Criteria:

 

The Dependent is a person who is not my lawful spouse who lives with me and is a member of my household

 

for the entire year.

 

I provide over half of the Dependent’s support for the calendar year(s) in which coverage is provided.

 

The Dependent is not my or anyone else’s qualifying child for the tax year(s) in which coverage is provided.

We solemnly affirm under the penalties of perjury under applicable state laws, that the foregoing is true and accurate. We understand that willful falsification of information contained in this Affidavit can result in referral of the matter for investigation and prosecution, the termination of enrollment and coverage of the domestic partner, and the termination of coverage for the employee/retiree. We understand that a civil action may be brought against us for any losses, including reasonable attorney fees, because of a false statement contained in this affidavit. In addition, where permissible, employment related action may be taken against an active employee.

We agree to promptly notify the Department of Budget and Management, Employee Benefits Division upon any changes or circumstances attested to in this affidavit. We understand that we may not file another affidavit until at least one (1) year after termination of this domestic partnership.

_________________________________________ __________________________

_________________________

Signature of Employee/Retiree

Social Security Number

Date

_____________________________________ ________________________

_________________________

Signature of Domestic Partner

Social Security Number

Date

Dependent Tax Affidavit for Domestic Partner’s Dependents:

Name of Employee/Retiree: ________________________________ Social Security Number: __________________________

Name of Domestic Partner’s Dependent: _____________________________________________________________________

Dependent’s Date of Birth: ______________________Social Security Number: ______________________________________

Part A: Dependent Relationship, Marital Status, and Age/Capability Requirements

A. Initial the box for the correct dependent relationship for your domestic partner’s dependent listed above. If none apply, this person is NOT eligible to be added to your health benefits coverage.

Initials

 

Dependent Relationship

Required Documentation

 

Biological Child of Domestic Partner

- Copy of Child’s Official State Birth Certificate

 

 

 

 

Adopted Child or child placed with domestic partner for adoption

- Copy of Adoption papers indicating child’s date of birth

 

by the Domestic Partner

- For pending adoptions – see Benefits Guide

 

 

 

 

Step-Child of Domestic Partner

- Copy of Child’s Official State Birth Certificate

 

 

 

- Copy of domestic partner’s Official State Marriage Certificate from

 

 

 

previous marriage

 

Grandchild of Domestic Partner

- Copy of Child’s Official State Birth Certificate

 

 

 

- Copy of Child’s Parent’s Official State Birth Certificate (to show

 

 

 

relationship to domestic partner)

 

Legal Ward of Domestic Partner (permanently resides with my

- Copy of Child’s Official State Birth Certificate

 

domestic partner and my domestic partner is his/her testamentary

- Proof of Residency (Valid Driver’s License, or State-issued

 

or court appointed

guardian for a non-temporary guardianship of

Identification Card, school records or day care records certifying

 

not less than 12 months.)

dependent’s address, Tax Documents listing child’s name certifying

 

 

 

address.)

 

 

 

- Copy of Legal Ward/Testamentary Court

 

 

 

Document, signed by a Judge.

 

Other Child Relative (includes step-grandchildren) of Domestic

- Copy of Child’s Official State Birth Certificate

 

Partner - dependent is related to my domestic partner by blood,

- Proof of Residency (Valid Driver’s License, or State-issued

 

permanently resides with my domestic partner, and my domestic

Identification Card, school records or day care records certifying

 

partner provides his/her sole support.

dependent’s address, Tax Documents listing child’s name certifying

 

 

 

address.)

 

 

 

- Signature of Sole Support Affirmation (see below)

B. Initial the box below, if the Dependent is NOT married. If this person is married, he/she is NOT eligible for State employee/retiree health benefits coverage.

The Dependent is NOT married

C. Initial the box by the statement that describes the Dependent. If neither statement accurately describes this Dependent, this person is not eligible for State employee/retiree health benefits coverage.

The Dependent is under the age of 25.

The Dependent is any age and is incapable of self-support because of a mental or physical incapability incurred before reaching age 25 and is chiefly dependent on me and/or my domestic partner for support.

Sole Support Affirmation for Other Child Relative Dependent ONLY:

I certify by my signature below that the dependent child listed on this form is supported solely by me and/or my domestic partner.

___________________________________________

_____________________

Domestic Partner’s Signature

Date

Part B: Tax Criteria:

In some cases, the dependent of your Domestic Partner may qualify as your eligible tax dependent. If he/she meets all four criteria for the Qualifying Child Test or all three criteria for the Qualifying Relative Test on the following page the coverage attributable to your domestic partner’s dependent may be eligible for tax-favored treatment. If you cannot initial all four Qualifying Child or all three Qualifying Relative criteria, this person is NOT an eligible tax dependent and the portion of your coverage attributable to this dependent is not eligible for tax-favored status.

Initials

Qualifying Child Test Criteria – must meet all four criteria

 

The child is my biological child or adopted child (or placed for adoption by me), my legal ward or child placed with me

 

under court order (not temporary for less then 12 months), sibling, or descendent of my child or sibling (i.e. grandchild,

 

niece, nephew, etc); and

The child lives with me for more than half of the year (more than six months) or is my biological or adopted child and meets the following residence exceptions:

-The child received over half of the child’s support during the calendar year from the child’s parents, who (1) are divorced or legally separated under a decree of divorce or separate maintenance, or (2) are separated under a written separation agreement, or (3) live apart at all times during the last six months of the calendar year; and

-The child is in the custody of one or both of the child’s parents for more than half of the calendar year; and

-

The Child (1) has not attained age 19 as of the close of the calendar year(s) in which coverage is provided, or (2) is a full- time student for at least five months of the calendar year who has not attained age 24 as of the end of the calendar year(s) in which coverage is provided, or (3) is permanently and totally disabled; and

 

The child has not provided more than half of the child’s own support for the calendar year(s) in which coverage is provided.

 

 

 

 

-OR-

 

 

Initials

Qualifying Relative Test Criteria – must meet all three criteria

 

The Dependent has a specified relationship to me: my biological child, my adopted child (or placed for adoption by me),

 

my step-child, my grandchild, my niece, my nephew, my sibling, or a person who is not my lawful spouse who lives with

 

me and is a member of my household for the entire year (this includes a legal ward); and

 

 

 

I provide over half of the Dependent's support for the calendar year(s) in which coverage is provided; and

 

 

 

The Dependent is not my or anyone else's qualifying child for the tax year(s) in which coverage is provided. If this child meets

 

criteria for the Qualifying Child Test, this statement is not true.

We solemnly affirm under the penalties of perjury under applicable state laws, that the foregoing is true and accurate.

We understand that willful falsification of information contained in this Affidavit will result in our termination of enrollment. We understand that a civil action may be brought against us for any losses, including reasonable attorney fees, because of a false statement contained in this affidavit.

_________________________________________

_________________________

Signature of Employee/Retiree

Date

_________________________________________

_________________________

Signature of Domestic Partner

Date

Rev 9/1/09

 

File Specifics

Fact Name Description
Eligibility Criteria To qualify as Domestic Partners, both individuals must be at least 18 years old, not related by blood or marriage within four degrees, and not involved in another domestic partnership or marriage.
Duration of Relationship The couple must have been in a committed relationship for at least 12 consecutive months, demonstrating mutual interdependence and the intention to remain together indefinitely.
Financial Interdependence Proof of financial interdependence can be established through joint ownership of property, shared bank accounts, or designations as beneficiaries on important documents.
Common Residence Partners must share a common primary residence, which can be verified through joint leases, utility bills, or identification documents showing the same address.
Governing Laws This form is governed by Maryland law, specifically under the Annotated Code of Maryland, including the Estates and Trusts Article and Health-General Article.

How to Use Maryland Domestic Partnership

After completing the Maryland Domestic Partnership form, it is important to submit it to the appropriate department for processing. Make sure to double-check all information for accuracy before sending it in.

  1. Begin by filling in your name as the Employee/Retiree in the first blank line.
  2. Next, enter your Domestic Partner's name in the second blank line.
  3. Certify that both you and your Domestic Partner meet the eligibility criteria by checking the boxes next to each statement provided.
  4. To establish financial interdependence, select one of the options listed and provide the required documentation.
  5. For common primary residence, select one of the options and provide the necessary documentation.
  6. If applicable, initial the boxes for the Tax Affidavit for Domestic Partner, ensuring all three criteria are met.
  7. Sign and date the affidavit in the designated areas for both you and your Domestic Partner.
  8. Fill in your Social Security number and your Domestic Partner's Social Security number where indicated.
  9. For dependents, write your name and Social Security number at the top of the dependent section.
  10. Provide your Domestic Partner’s dependent's name and date of birth in the appropriate spaces.
  11. Initial the box that corresponds to the dependent relationship and provide the required documentation.
  12. Initial the box confirming that the dependent is not married.
  13. Initial the box that describes the dependent's age or capability status.
  14. If applicable, sign the Sole Support Affirmation for Other Child Relative Dependent.
  15. Complete the Tax Criteria section by initialing the appropriate test criteria that apply to the dependent.
  16. Finally, sign and date the document in the areas provided for both you and your Domestic Partner.

Your Questions, Answered

What is the Maryland Domestic Partnership form?

The Maryland Domestic Partnership form is a legal document used to establish a domestic partnership between two individuals. It certifies that both parties meet specific criteria, such as age, relationship status, and financial interdependence. This form is necessary for individuals seeking health benefits coverage for their domestic partner or their partner's dependents.

Who qualifies as a Domestic Partner under this form?

To qualify as a Domestic Partner, both individuals must meet the following criteria:

  1. Be at least 18 years old.
  2. Not be related by blood or marriage within four degrees.
  3. Not be married or in another domestic partnership.
  4. Have been in a committed relationship for at least 12 consecutive months, contributing to each other's support.
  5. Share a common primary residence.

What documents are needed to prove financial interdependence?

Financial interdependence can be established by providing one of the following documents:

  • Joint ownership or lease of a motor vehicle.
  • Joint lease, mortgage, or deed of your primary residence.
  • Joint checking, savings, or investment accounts.
  • Designation as the primary beneficiary in life insurance or retirement benefits.
  • Mutual assignments of durable powers of attorney.
  • Mutual valid written advanced directives approving the domestic partner as a health care agent.

How can I add a dependent child of my Domestic Partner to my health benefits?

To add a dependent child of your Domestic Partner, you must complete the appropriate section of the form. You will need to provide documentation that verifies the child's relationship to the Domestic Partner, such as:

  • Official state birth certificate.
  • Adoption papers.
  • Proof of residency.

Additionally, you must affirm that the dependent is not married and meets age or capability requirements.

What are the tax implications for my Domestic Partner and their dependents?

Your Domestic Partner may qualify as an eligible tax dependent if they meet specific criteria. These include living with you for the entire year and you providing over half of their support. If the dependent child meets the criteria for a qualifying child or qualifying relative, their coverage may also be eligible for tax-favored treatment.

What happens if I provide false information on the form?

Providing false information on the Maryland Domestic Partnership form can lead to serious consequences. This includes termination of enrollment and coverage for both the domestic partner and the employee/retiree. Legal action may also be pursued for any losses incurred due to false statements.

Can I file another affidavit after terminating a domestic partnership?

No, you cannot file another affidavit until at least one year after the termination of the domestic partnership. It is important to notify the Department of Budget and Management, Employee Benefits Division, of any changes in your circumstances.

Common mistakes

  1. Incomplete Information: Failing to fill in all required fields, such as names, signatures, or social security numbers, can lead to delays or denials.

  2. Incorrect Age Verification: Not confirming that both partners are at least 18 years old can invalidate the application.

  3. Misunderstanding Relationship Criteria: Not recognizing that partners must not be related by blood or marriage within four degrees can lead to disqualification.

  4. Overlooking Financial Interdependence: Failing to provide appropriate documentation to prove financial interdependence, such as joint accounts or shared bills, is a common mistake.

  5. Not Establishing Common Residence: Not providing proof of a shared primary residence, like a joint lease or utility bill, can result in rejection.

  6. Ignoring Tax Dependent Criteria: Not initialing the tax dependent criteria correctly or misunderstanding the requirements can disqualify a partner.

  7. Failing to Sign: Forgetting to sign the affidavit, either by the employee or the domestic partner, can halt the process.

  8. Neglecting to Update Information: Not notifying the Department of Budget and Management about any changes in circumstances can lead to penalties.

  9. Submitting Outdated Documents: Using expired or incorrect documents for proof of relationship or residency can cause issues with the application.

Documents used along the form

The Maryland Domestic Partnership form is an essential document for couples seeking to establish their partnership legally. However, several other forms and documents are commonly used alongside this form to ensure that all aspects of the partnership are recognized and protected. Below is a list of these documents, each serving a specific purpose in the process of formalizing a domestic partnership.

  • Affidavit for Domestic Partnership and Domestic Partner’s Dependents: This affidavit certifies the existence of a domestic partnership and is necessary for adding a domestic partner or dependent child to health benefits. It outlines the criteria for establishing a domestic partnership, including age, relationship status, and financial interdependence.
  • Tax Affidavit for Domestic Partner: This document is used to determine if a domestic partner qualifies as an eligible tax dependent. It requires the completion of criteria that must be met for tax-favored treatment, ensuring that the domestic partner is financially supported and lives in the same household.
  • Dependent Tax Affidavit for Domestic Partner’s Dependents: This affidavit is specifically for the dependents of the domestic partner. It outlines the relationship and support requirements needed to add a dependent to health benefits, including necessary documentation for biological children, adopted children, and other relatives.
  • Joint Lease or Mortgage Agreement: This document serves as proof of shared residence, which is a requirement for establishing a domestic partnership. A joint lease or mortgage shows that both partners are financially committed to their living arrangement.
  • Power of Attorney: A mutual durable power of attorney allows each partner to make decisions on behalf of the other in case of incapacity. This legal document is crucial for health care and financial decisions, ensuring that both partners' wishes are respected.
  • Health Care Directive: This document designates a partner as the health care agent, allowing them to make medical decisions if one partner becomes incapacitated. It ensures that both partners have a say in health-related matters.
  • Beneficiary Designation Forms: These forms allow partners to designate each other as beneficiaries on life insurance policies, retirement accounts, or wills. This ensures that assets are transferred according to their wishes in the event of death.
  • Utility Bills: Joint utility bills can serve as additional proof of a shared residence. They help demonstrate that both partners are living together and sharing financial responsibilities.
  • Tax Returns: Recent tax returns may be required to verify financial interdependence and support claims for tax-dependent status. This documentation can help establish eligibility for certain benefits.

Each of these documents plays a vital role in the establishment and recognition of a domestic partnership in Maryland. By ensuring that all necessary forms are completed and submitted, partners can protect their rights and benefits, fostering a secure and legally recognized relationship.

Similar forms

The Maryland Domestic Partnership form shares similarities with the Affidavit of Support, commonly used in immigration cases. Both documents require individuals to affirm their commitment to a relationship, demonstrating financial interdependence and mutual support. Just as the Domestic Partnership form outlines criteria for establishing a committed relationship, the Affidavit of Support necessitates proof that the sponsor can support their immigrant partner financially, ensuring that both parties are invested in the partnership and can provide for one another.

Another document akin to the Maryland Domestic Partnership form is the Joint Tenancy Agreement. This legal instrument establishes shared ownership of property between two or more individuals, similar to how the Domestic Partnership form requires proof of shared residence. Both documents emphasize the importance of financial commitment and mutual support, highlighting the legal and financial ties that bind partners together.

The Health Care Proxy serves as another comparable document, as it allows individuals to designate someone to make medical decisions on their behalf if they become incapacitated. Just like the Domestic Partnership form, which can include mutual assignments of durable powers of attorney, the Health Care Proxy underscores the trust and reliance partners have on each other in critical situations. Both documents are essential for ensuring that partners' wishes are respected in health-related matters.

The Tax Affidavit for Domestic Partners is directly related to the Maryland Domestic Partnership form, as it establishes criteria for determining whether a domestic partner qualifies as a tax-dependent. Both documents require the completion of specific criteria to ensure that the relationship is genuine and financially intertwined. This connection is vital for tax purposes, allowing partners to benefit from tax-favored treatment, much like traditional family structures.

Finally, the Marriage Certificate is a well-known document that serves a similar purpose in validating a committed relationship. While the Domestic Partnership form is designed for couples who choose not to marry, both documents formalize a partnership and often provide similar legal rights and benefits. They both require proof of a committed relationship and may involve similar eligibility criteria, thereby establishing a legal foundation for the partners involved.

Dos and Don'ts

When filling out the Maryland Domestic Partnership form, it’s important to be careful and thorough. Here’s a list of things you should and shouldn’t do:

  • Do: Ensure that both you and your domestic partner are at least 18 years old.
  • Do: Provide accurate and complete information regarding your financial interdependence, using the required documents.
  • Do: Sign and date the affidavit, confirming that all information provided is true.
  • Do: Keep copies of all documents submitted for your records.
  • Don't: Misrepresent your relationship status or the information provided; this can lead to serious consequences.
  • Don't: Forget to include necessary documentation for any dependents you wish to add.
  • Don't: Submit the affidavit if any of the eligibility criteria are not met.
  • Don't: Delay in notifying the Department of Budget and Management about any changes in your domestic partnership status.

Misconceptions

Understanding the Maryland Domestic Partnership form can be challenging, and several misconceptions often arise. Here are seven common misunderstandings:

  • Domestic partners must be married to each other. This is false. Domestic partners are not required to be married or in any other legal union with each other. They simply need to meet specific criteria outlined in the form.
  • You can submit the form without proof of financial interdependence. This is incorrect. To establish financial interdependence, you must provide dated documents such as joint accounts or shared property ownership.
  • Only same-sex couples can register as domestic partners. This misconception is misleading. Maryland allows any couple, regardless of gender, to register as domestic partners as long as they meet the necessary criteria.
  • There is no age requirement for domestic partners. This is not true. Both partners must be at least 18 years old to qualify for the domestic partnership.
  • Once registered, the domestic partnership cannot be terminated. This is incorrect. Partners can terminate their domestic partnership, but they must wait at least one year after termination before filing another affidavit.
  • All dependents of a domestic partner are automatically covered. This is a misconception. Dependents must meet specific eligibility criteria and documentation requirements to be added to health benefits coverage.
  • Falsifying information on the form has no serious consequences. This is a dangerous assumption. Willful falsification can lead to legal consequences, including termination of coverage and potential civil action.

Understanding these misconceptions can help individuals navigate the Maryland Domestic Partnership process more effectively. Always ensure that you are informed about the requirements and implications of the form.

Key takeaways

When considering the Maryland Domestic Partnership form, it's essential to understand its requirements and implications. Here are some key takeaways:

  • Eligibility Criteria: Both partners must be at least 18 years old and not related by blood or marriage within four degrees.
  • Commitment Requirement: The partners must have been in a committed relationship for at least 12 consecutive months, demonstrating mutual interdependence.
  • Financial Interdependence: To establish financial interdependence, provide documentation such as joint ownership of property or shared financial accounts.
  • Common Residence: Proof of a shared primary residence is necessary, which can include joint leases or utility bills with both names.
  • Tax Dependent Status: A domestic partner may qualify as a tax-dependent if specific criteria are met, including living together and financial support.
  • Affidavit Accuracy: It is crucial to provide accurate information on the affidavit, as falsification can lead to serious consequences, including legal action.
  • Notification of Changes: Partners must notify the Department of Budget and Management of any changes in their circumstances that affect their domestic partnership status.

Understanding these points can help ensure that the process of filling out and using the Maryland Domestic Partnership form goes smoothly and complies with the necessary legal requirements.