Blank Maine Afppgmc PDF Form

Blank Maine Afppgmc PDF Form

The Maine Afppgmc form is an application used to claim unpaid monthly pensions or to request payment for cancelled checks. This form is essential for both pensioners and their beneficiaries to ensure that they receive the financial support they are entitled to. If you need to fill out this form, please click the button below.

For those navigating the complexities of pension claims in Maine, the AFPPGMC form serves as a crucial tool in securing unpaid monthly pensions or addressing issues related to cancelled checks. This application is specifically designed for individuals who either are pensioners themselves or act on behalf of a principal pensioner, such as a beneficiary or widow. The form requires essential personal information, including the applicant's full name, age, date of birth, and current address. It also necessitates details regarding the relationship to the principal pensioner, along with the specific reasons for the claim. Applicants must provide a comprehensive account of the period for which they are claiming unpaid pensions, alongside any explanations for missed payments or stale checks. Supporting documents are essential; these may include a Pensioner Update Form, retirement orders, marriage contracts, and identification. The integrity of the application is underscored by a declaration that the information provided is accurate, with penalties for falsehoods. Understanding the requirements and ensuring all documentation is complete can significantly expedite the claims process, making it vital for applicants to act promptly and diligently.

Document Sample

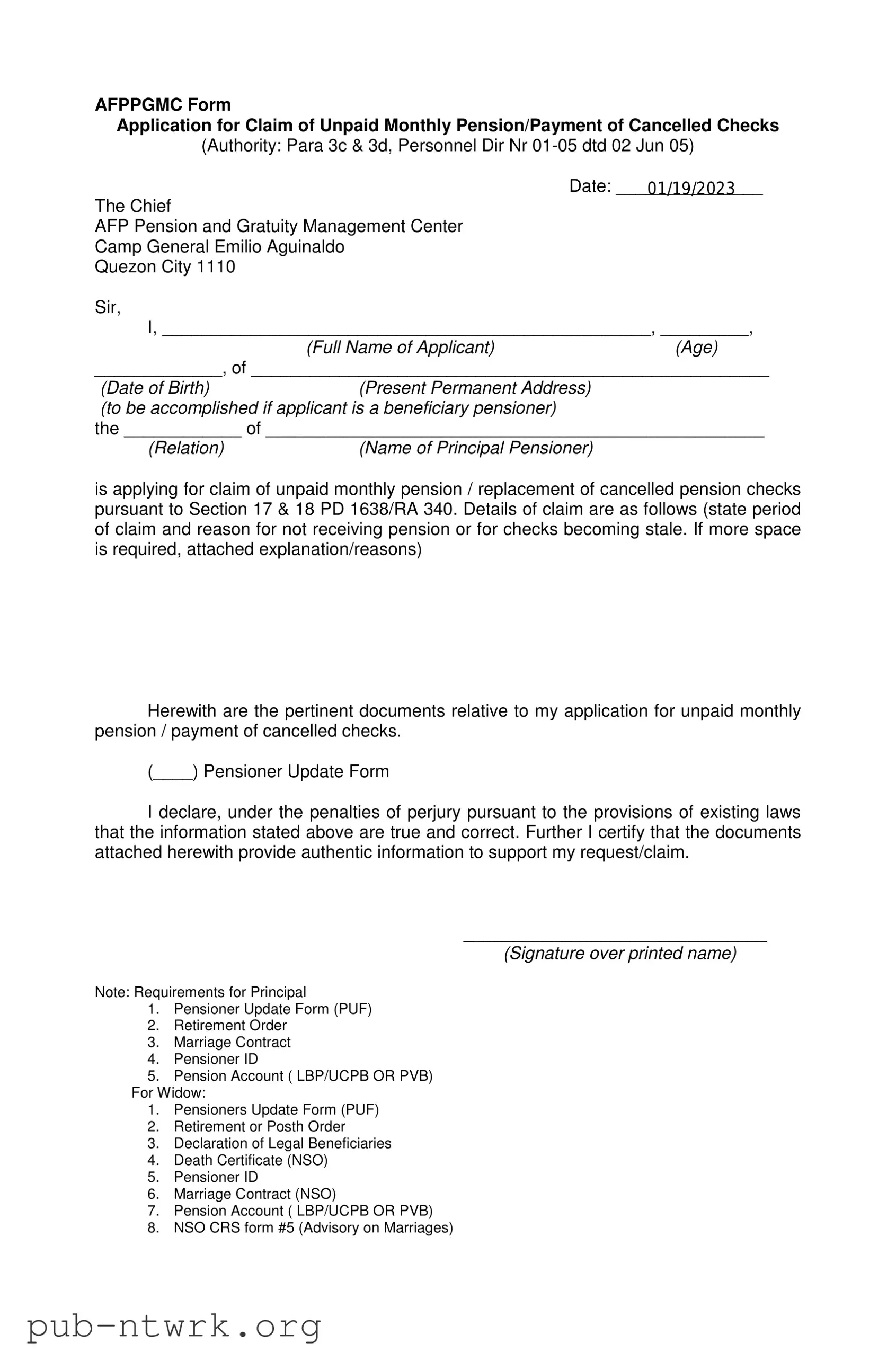
AFPPGMC Form

Application for Claim of Unpaid Monthly Pension/Payment of Cancelled Checks

(Authority: Para 3c & 3d, Personnel Dir Nr 01-05 dtd 02 Jun 05)

Date: 01/19/2023

The Chief

AFP Pension and Gratuity Management Center

Camp General Emilio Aguinaldo

Quezon City 1110

Sir,

I, __________________________________________________, _________,

(Full Name of Applicant)(Age)

_____________, of _____________________________________________________

(Date of Birth)(Present Permanent Address) (to be accomplished if applicant is a beneficiary pensioner)

the ____________ of ___________________________________________________

(Relation)

(Name of Principal Pensioner)

is applying for claim of unpaid monthly pension / replacement of cancelled pension checks pursuant to Section 17 & 18 PD 1638/RA 340. Details of claim are as follows (state period of claim and reason for not receiving pension or for checks becoming stale. If more space is required, attached explanation/reasons)

Herewith are the pertinent documents relative to my application for unpaid monthly pension / payment of cancelled checks.

(____) Pensioner Update Form

I declare, under the penalties of perjury pursuant to the provisions of existing laws that the information stated above are true and correct. Further I certify that the documents attached herewith provide authentic information to support my request/claim.

_______________________________

(Signature over printed name)

Note: Requirements for Principal

1.Pensioner Update Form (PUF)

2.Retirement Order

3.Marriage Contract

4.Pensioner ID

5.Pension Account ( LBP/UCPB OR PVB) For Widow:

1.Pensioners Update Form (PUF)

2.Retirement or Posth Order

3.Declaration of Legal Beneficiaries

4.Death Certificate (NSO)

5.Pensioner ID

6.Marriage Contract (NSO)

7.Pension Account ( LBP/UCPB OR PVB)

8.NSO CRS form #5 (Advisory on Marriages)

File Specifics

Fact Name Description
Form Purpose The Maine AFPPGMC form is used to apply for claims related to unpaid monthly pensions or the replacement of cancelled pension checks.
Governing Laws This form is governed by Section 17 and 18 of Presidential Decree 1638 and Republic Act 340.
Applicant Information The applicant must provide their full name, age, date of birth, and permanent address on the form.
Relation to Pensioner If the applicant is a beneficiary pensioner, they must indicate their relationship to the principal pensioner.
Required Documents Applicants must attach relevant documents, such as the Pensioner Update Form, Retirement Order, and Marriage Contract, depending on their status.
Certification of Truthfulness The applicant must declare that the information provided is true and correct, under the penalties of perjury.
Additional Notes For widows, additional documentation is required, including a Death Certificate and a Declaration of Legal Beneficiaries.

How to Use Maine Afppgmc

Filling out the Maine AFPPGMC form is a straightforward process that requires specific information and documentation. This form is essential for those seeking to claim unpaid monthly pensions or to replace canceled checks. Once you've gathered your information and completed the form, you will be able to submit it along with the necessary documents to initiate your claim.

  1. Obtain the form: Start by downloading or printing the Maine AFPPGMC form.
  2. Fill in the date: Write the current date at the top of the form.
  3. Provide your full name: In the designated space, enter your full name.
  4. Indicate your age: Next to your name, write your age.
  5. Enter your date of birth: Fill in your date of birth in the appropriate section.
  6. List your present permanent address: Write your current address clearly.
  7. State your relationship: If you are a beneficiary pensioner, specify your relationship to the principal pensioner.
  8. Name the principal pensioner: Provide the full name of the principal pensioner.
  9. Detail the claim: Clearly state the period of the claim and the reason for not receiving the pension or for checks becoming stale. If you need more space, attach additional explanations.
  10. Attach required documents: Include the necessary documents that support your application. Ensure you have the Pensioner Update Form and any other relevant documentation based on your status (principal pensioner or widow).
  11. Sign the form: Sign your name over your printed name at the bottom of the form.
  12. Review your application: Double-check all the information for accuracy and completeness before submission.

Once you've completed these steps, gather all the attached documents and submit your application to the Chief AFP Pension and Gratuity Management Center. Make sure to keep copies of everything for your records.

Your Questions, Answered

What is the Maine Afppgmc form used for?

The Maine Afppgmc form is used to apply for claims related to unpaid monthly pensions or to request the payment of cancelled pension checks. It is essential for both pensioners and their beneficiaries to ensure they receive the benefits they are entitled to under the law.

Who can use the Afppgmc form?

The form can be used by principal pensioners or their beneficiaries. If you are the principal pensioner, you will fill out the form yourself. If you are a beneficiary, you will need to provide your relationship to the principal pensioner and complete the necessary sections of the form.

What documents are required to submit with the Afppgmc form?

When submitting the Afppgmc form, you must include specific documents depending on your status:

  • For Principal Pensioners:
    1. Pensioner Update Form (PUF)
    2. Retirement Order
    3. Marriage Contract
    4. Pensioner ID
    5. Pension Account (LBP/UCPB or PVB)
  • For Widows:
    1. Pensioner Update Form (PUF)
    2. Retirement or Posthumous Order
    3. Declaration of Legal Beneficiaries
    4. Death Certificate (NSO)
    5. Pensioner ID
    6. Marriage Contract (NSO)
    7. Pension Account (LBP/UCPB or PVB)
    8. NSO CRS Form #5 (Advisory on Marriages)

How do I fill out the Afppgmc form?

To fill out the Afppgmc form, start by providing your full name, age, date of birth, and present permanent address. If you are a beneficiary, include your relationship to the principal pensioner. Clearly state the period of the claim and the reason for the claim. Ensure all information is accurate to avoid delays.

What happens after I submit the Afppgmc form?

After submission, your application will be reviewed by the Chief AFP Pension and Gratuity Management Center. They will assess the information and documents provided. If everything is in order, they will process your claim and notify you of the outcome.

Is there a deadline for submitting the Afppgmc form?

While there is no strict deadline mentioned, it is advisable to submit your claim as soon as you notice an issue with unpaid pensions or cancelled checks. Prompt action can help ensure that you receive your benefits without unnecessary delays.

What should I do if my claim is denied?

If your claim is denied, you have the right to appeal the decision. Review the reasons for denial carefully. You may need to provide additional documentation or clarification. Contact the AFP Pension and Gratuity Management Center for guidance on the appeals process.

Can I track the status of my claim?

Yes, you can track the status of your claim by contacting the AFP Pension and Gratuity Management Center directly. They can provide updates on the processing of your application and any additional steps you may need to take.

Common mistakes

  1. Failing to provide complete personal information. It's essential to fill in your full name, age, date of birth, and address accurately.

  2. Not specifying the relation to the principal pensioner. Clearly state your relationship to avoid confusion.

  3. Omitting the details of the claim. Make sure to include the period of the claim and the reason for the unpaid pension or stale checks.

  4. Neglecting to attach the required documents. Ensure that all necessary paperwork, like the Pensioner Update Form and Retirement Order, is included.

  5. Forgetting to sign the form. Your signature is crucial as it confirms that the information provided is true and correct.

  6. Using outdated or incorrect document formats. Make sure all attached documents are current and meet the specified requirements.

  7. Not reviewing the form for errors or omissions. A thorough check can prevent delays in processing your claim.

  8. Ignoring the note on requirements. Familiarize yourself with the specific documents needed for both pensioners and widows to ensure a smooth application process.

Documents used along the form

The Maine AFPPGMC form is essential for individuals seeking to claim unpaid monthly pensions or request payment for cancelled checks. Along with this form, several other documents are often required to support the application. Below is a list of common forms and documents that may accompany the AFPPGMC form.

  • Pensioner Update Form (PUF): This form collects updated information about the pensioner, including personal details and contact information. It ensures that the pension records are current and accurate.
  • Retirement Order: This document serves as official proof of retirement. It outlines the terms and conditions under which the pensioner is eligible for benefits.
  • Marriage Contract: Required for applicants who are beneficiaries, this document verifies the marital status of the pensioner and confirms the relationship to the applicant.
  • Pensioner ID: This identification card confirms the identity of the pensioner and is necessary to validate the claim for benefits.
  • Death Certificate (NSO): For widows or beneficiaries claiming on behalf of deceased pensioners, this document provides proof of death and is critical for processing the claim.

Each of these documents plays a vital role in the application process, helping to ensure that claims are processed accurately and efficiently. Properly completing and submitting these forms can facilitate a smoother experience for those seeking their rightful benefits.

Similar forms

The Maine AFPPGMC form is similar to the Social Security Administration's (SSA) Application for Benefits form. Both documents serve to initiate a claim for financial benefits, whether it be pensions or social security. Applicants must provide personal information, including their name, age, and address, as well as details about their claim. Just as the AFPPGMC form requires supporting documents, the SSA form also necessitates verification materials to substantiate the applicant's eligibility for benefits.

Another comparable document is the VA Form 21-526, which is used to apply for veteran benefits. Like the AFPPGMC form, it requires detailed personal information from the applicant, including service history and financial status. Both forms emphasize the need for accurate information and supporting documentation to process claims effectively. The VA form also includes a declaration statement, similar to the AFPPGMC, where applicants certify that the information provided is truthful.

The Medicare Application for Enrollment is another document that shares similarities with the AFPPGMC form. Both applications are designed to facilitate access to benefits, requiring applicants to provide personal details and reasons for their claims. Additionally, both forms may necessitate supplementary documentation to verify the applicant's status and eligibility. The Medicare application also includes a section for applicants to confirm their understanding of the program, akin to the declaration in the AFPPGMC form.

The Unemployment Insurance Application is yet another document that parallels the AFPPGMC form. This application requires individuals to submit personal information and the reasons for their unemployment. Both forms are focused on ensuring that the applicant qualifies for the respective benefits. They also require a declaration of truthfulness regarding the information provided, ensuring integrity in the claims process.

Lastly, the Workers' Compensation Claim Form shares similarities with the AFPPGMC form. Both documents aim to secure financial assistance for individuals facing economic hardships due to specific circumstances. Applicants must provide identifying information and details about their claims. Supporting documents are also essential in both cases to validate the claims made. Each form includes a statement affirming that the information given is accurate and complete, reinforcing accountability in the claims process.

Dos and Don'ts

When filling out the Maine AFPPGMC form, it is crucial to follow certain guidelines to ensure your application is processed smoothly. Here’s a list of things you should and shouldn’t do:

  • Do provide accurate and complete information in all sections of the form.
  • Do attach all required documents to support your claim.
  • Don't leave any sections blank; incomplete forms can delay processing.
  • Don't submit the form without reviewing it for errors or omissions.

By adhering to these guidelines, you can help ensure that your claim is handled efficiently.

Misconceptions

Here are some common misconceptions about the Maine AFPPGMC form:

  • It's only for pensioners. Many believe that only the primary pensioners can use this form. However, beneficiaries can also apply for claims using this form, as long as they meet the necessary requirements.
  • You don't need to provide supporting documents. Some think that submitting just the form is enough. In reality, attaching the required documents is essential to support your claim. Without them, your application may be delayed or denied.
  • The form is only for unpaid pensions. While the primary purpose of the AFPPGMC form is to claim unpaid pensions, it can also be used to request payment for cancelled checks. This is an important aspect that many overlook.
  • Once submitted, the process is automatic. Many assume that once they submit the form, the process will happen without any further action. In truth, applicants may need to follow up on their claims to ensure everything is processed correctly.

Key takeaways

When filling out the Maine AFPPGMC form, it is essential to keep several key points in mind to ensure a smooth application process. Below are important takeaways that can guide applicants in completing the form accurately and effectively.

  • Complete Personal Information: Provide your full name, age, date of birth, and permanent address. This information is crucial for identifying you as the applicant.
  • Specify Your Relation: If you are applying as a beneficiary pensioner, clearly state your relationship to the principal pensioner.
  • Detail Your Claim: Clearly outline the period of your claim and the reasons for not receiving your pension or for checks becoming stale. Include any necessary explanations if more space is needed.
  • Attach Required Documents: Ensure that all pertinent documents are included with your application. Missing documents can delay the processing of your claim.
  • Sign and Certify: Your signature is required on the form, confirming that all information provided is true and correct. This certification is important for the validity of your claim.
  • Understand the Requirements: Familiarize yourself with the specific documents needed for both principal pensioners and widows, as they differ slightly.
  • Check for Updates: Make sure to keep your Pensioner Update Form current. This helps in maintaining accurate records and ensures timely processing of claims.

By following these guidelines, applicants can enhance their chances of a successful claim and avoid unnecessary delays.