Blank Kentucky Aoc 495 PDF Form

Blank Kentucky Aoc 495 PDF Form

The Kentucky AOC 495 form is a legal document used in the Commonwealth of Kentucky for defendants wishing to enter a guilty plea for DUI offenses. This form outlines the rights being waived, the potential penalties, and the acknowledgment of the defendant's understanding of the charges against them. It is crucial for individuals facing DUI charges to complete this form accurately to ensure their legal rights are preserved.

To fill out the Kentucky AOC 495 form, please click the button below.

The Kentucky AOC 495 form plays a crucial role in the legal process for individuals facing charges of Driving Under the Influence (DUI). This document serves as a formal request for a defendant to enter a guilty plea. It outlines essential information such as the case number, court details, and the nature of the charges. The form requires the defendant to affirm their understanding of the charges against them, the rights they are waiving by pleading guilty, and the potential penalties they may face. It emphasizes the importance of legal counsel, allowing defendants to confirm that they have discussed their case with an attorney and are satisfied with the advice received. Moreover, the form details the various penalties associated with different DUI offenses, including fines, jail time, and license suspensions, while also noting the possibility of enhanced penalties for subsequent offenses. The AOC 495 form not only facilitates the legal proceedings but also ensures that defendants are fully informed of their rights and the consequences of their decisions. By signing this document, individuals acknowledge their plea is made voluntarily and with a clear understanding of the implications involved.

Document Sample

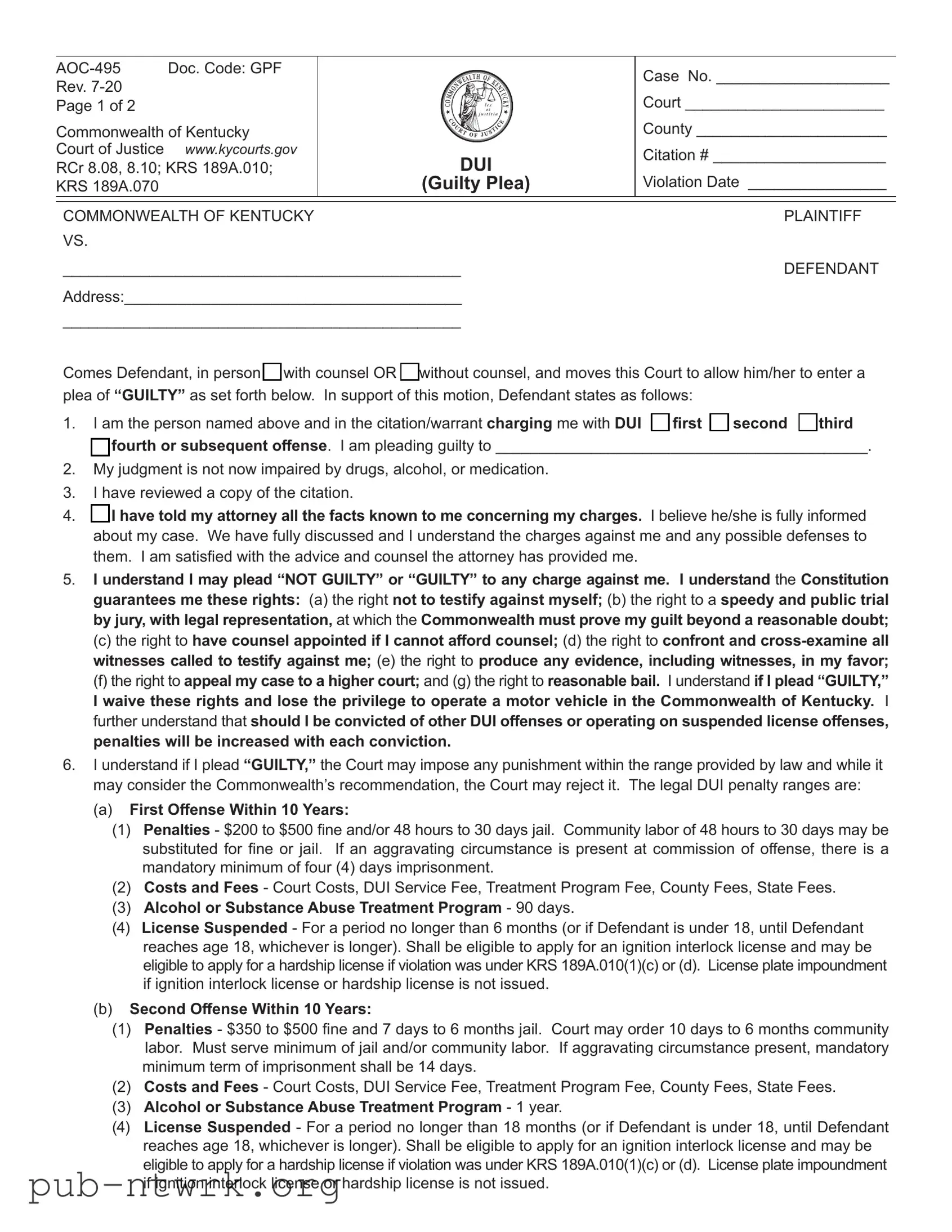
AOC-495 Doc. Code: GPF

Rev. 7-20

Page 1 of 2

Commonwealth of Kentucky Court of Justice www.kycourts.gov RCr 8.08, 8.10; KRS 189A.010; KRS 189A.070

 

 

 

 

 

LT H

OF

 

 

 

 

 

EA

K

 

 

 

 

W

 

 

 

 

 

 

 

 

E

 

 

 

O

N

 

 

 

N

 

M

 

 

 

 

T

M

 

 

 

 

 

 

U

 

 

 

 

 

 

 

 

C

O

 

 

 

 

 

l e x

K

C

 

 

 

 

 

Y

 

 

 

 

 

 

e t

 

 

 

 

 

 

 

j u s t i t i a

E

O

 

 

 

 

C

 

 

 

 

 

 

 

 

U

 

 

 

IC

 

 

 

 

R

T

 

 

T

 

 

 

 

 

 

O F

JU

 

 

DUI

(Guilty Plea)

Case No. ____________________

Court _______________________

County ______________________

Citation # ____________________

Violation Date ________________

COMMONWEALTH OF KENTUCKY

VS.

______________________________________________

Address:_______________________________________

______________________________________________

PLAINTIFF

DEFENDANT

Comes Defendant, in person with counsel OR without counsel, and moves this Court to allow him/her to enter a plea of “GUILTY” as set forth below. In support of this motion, Defendant states as follows:

1.I am the person named above and in the citation/warrant charging me with DUI  first  second  third  fourth or subsequent offense. I am pleading guilty to ___________________________________________.

2.My judgment is not now impaired by drugs, alcohol, or medication.

3.I have reviewed a copy of the citation.

4. I have told my attorney all the facts known to me concerning my charges. I believe he/she is fully informed about my case. We have fully discussed and I understand the charges against me and any possible defenses to them. I am satisfied with the advice and counsel the attorney has provided me.

5.I understand I may plead “NOT GUILTY” or “GUILTY” to any charge against me. I understand the Constitution guarantees me these rights: (a) the right not to testify against myself; (b) the right to a speedy and public trial

by jury, with legal representation, at which the Commonwealth must prove my guilt beyond a reasonable doubt;

(c) the right to have counsel appointed if I cannot afford counsel; (d) the right to confront and cross-examine all witnesses called to testify against me; (e) the right to produce any evidence, including witnesses, in my favor;

(f) the right to appeal my case to a higher court; and (g) the right to reasonable bail. I understand if I plead “GUILTY,”

I waive these rights and lose the privilege to operate a motor vehicle in the Commonwealth of Kentucky. I further understand that should I be convicted of other DUI offenses or operating on suspended license offenses,

penalties will be increased with each conviction.

6.I understand if I plead “GUILTY,” the Court may impose any punishment within the range provided by law and while it may consider the Commonwealth’s recommendation, the Court may reject it. The legal DUI penalty ranges are:

(a)First Offense Within 10 Years:

(1)Penalties - $200 to $500 fine and/or 48 hours to 30 days jail. Community labor of 48 hours to 30 days may be substituted for fine or jail. If an aggravating circumstance is present at commission of oense, there is a mandatory minimum of four (4) days imprisonment.

(2)Costs and Fees - Court Costs, DUI Service Fee, Treatment Program Fee, County Fees, State Fees.

(3)Alcohol or Substance Abuse Treatment Program - 90 days.

(4)License Suspended - For a period no longer than 6 months (or if Defendant is under 18, until Defendant reaches age 18, whichever is longer). Shall be eligible to apply for an ignition interlock license and may be eligible to apply for a hardship license if violation was under KRS 189A.010(1)(c) or (d). License plate impoundment if ignition interlock license or hardship license is not issued.

(b)Second Offense Within 10 Years:

(1)Penalties - $350 to $500 fine and 7 days to 6 months jail. Court may order 10 days to 6 months community labor. Must serve minimum of jail and/or community labor. If aggravating circumstance present, mandatory minimum term of imprisonment shall be 14 days.

(2)Costs and Fees - Court Costs, DUI Service Fee, Treatment Program Fee, County Fees, State Fees.

(3)Alcohol or Substance Abuse Treatment Program - 1 year.

(4)License Suspended - For a period no longer than 18 months (or if Defendant is under 18, until Defendant reaches age 18, whichever is longer). Shall be eligible to apply for an ignition interlock license and may be eligible to apply for a hardship license if violation was under KRS 189A.010(1)(c) or (d). License plate impoundment if ignition interlock license or hardship license is not issued.

AOC-495

Rev. 7-20

Page 2 of 2

(c) Third Offense Within 10 Years:

(1) Penalties - $500 to $1000 fine and 30 days to 12 months jail, and court may order 10 days to 12 months community labor. Must serve minimum of jail and/or community labor. If aggravating circumstance present, mandatory minimum term of imprisonment shall be 60 days.

(2) Costs and Fees - Court Costs, DUI Service Fee, Treatment Program Fee, County Fees, State Fees.

(3) Alcohol or Substance Abuse Treatment Program - 1 year.

(4) License Suspended - For a period no longer than 36 months (or if Defendant is under 18, until Defendant reaches age 18, whichever is longer). Shall be eligible to apply for an ignition interlock license and may be eligible to apply for a hardship license if violation was under KRS 189A.010(1)(c) or (d). License plate impoundment if ignition interlock license or hardship license is not issued.

(d) Fourth or Subsequent Offense Within 10 Years:

(1) Penalties - 1 to 5 years (Class D Felony). Must serve 120 days. If aggravating circumstance present, mandatory minimum term of imprisonment shall be 240 days.

(2) Costs and Fees - Court Costs, DUI Service Fee, Treatment Program Fee, County Fees, State Fees.

(3) Alcohol or Substance Abuse Treatment Program - 1 year.

(4) License Suspended - For a period no longer than 60 months (or if Defendant is under 18, until Defendant reaches age 18, whichever is longer). Shall be eligible to apply for an ignition interlock license and may be eligible to apply for a hardship license if violation was under KRS 189A.010(1)(c) or (d). License plate impoundment if ignition interlock license or hardship license is not issued.

(e) Aggravating Circumstances referred to above are: (1) Operating motor vehicle (MV) in excess of 30 miles per hour above the speed limit; (2) Operating MV in wrong direction on limited access highway; (3) Operating MV that causes accident resulting in death or serious physical injury; (4) Operating MV while alcohol concentration in operator’s blood or breath is 0.15 or more as measured by test(s) of a sample of the operator’s blood or breathtaken within 2 hours of cessation of operation of MV; (5) Refusing to submit to any test(s) [blood, breath, or urine] requested by ocer having reasonable grounds to believe person was operating or in physical control of a MV in violation of KRS 189A.010(1), except for a fi rst oense under KRS 189A.010(5)(a); and (6) Operating MV that is transporting a passenger under 12 years of age.

7.I understand that if the Court rejects the plea agreement, it must so inform me and allow me to either persist in my guilty plea, in which case I may receive a less favorable disposition of my case than is contemplated in the plea agreement, or withdraw my guilty plea and proceed to trial.

8.In return for my guilty plea, the Commonwealth has agreed to recommend to the Court the following original/amended

charge(s) and sentence(s):______________________________________________________________________

____________________________________________________________________________________________

Other than the recommendation, no one, including my attorney, has promised me any other benefit in return for my guilty plea, nor has anyone forced or threatened me to plead “GUILTY.”

9.Because I am guilty and make no claim of innocence, I wish to plead “GUILTY” in reliance on the above

recommendation. These facts establish my guilt: On ___________________________, 2_____,

____________________________________________________________________________________________

____________________________________________________________________________________________

OR

Pursuant to North Carolina v. Alford, 400 U.S. 25 (1970), I wish to plead “GUILTY” in reliance on the above recommendation. In so pleading, I do not admit guilt but I believe the evidence against me strongly indicates guilt and my interests are best served by a guilty plea.

10.I understand that because of my conviction here today, I may be subject to greater/enhanced penalties if found guilty and/or convicted of any future criminal offenses. I understand that if I am not a United States citizen, I may be subject to deportation pursuant to the laws and regulations governing the United States Immigration and Naturalization Service.

11.I declare my plea of “GUILTY” is freely, knowingly, intelligently and voluntarily made. I understand the nature of this proceeding, the complete terms of this plea, and all obligations imposed upon me by its terms.

Signed in open court this _______ day of ________________________________, 2______.

______________________________ ______________________________ ______________________________

Signature of Defendant

Signature of Defense Attorney (if any)

Print Attorney Name

File Specifics

Fact Name Description
Document Code AOC-495 is identified by the document code GPF.
Revision Date The form was last revised in July 2020.
Governing Laws This form is governed by RCr 8.08, RCr 8.10, KRS 189A.010, and KRS 189A.070.
Plea Options The defendant can plead either "GUILTY" or "NOT GUILTY" to the charges.
Legal Rights The form outlines several constitutional rights, including the right to a trial and legal representation.
Plea Agreement Defendants can enter a plea agreement, which may include recommendations from the Commonwealth.
Penalties Penalties vary based on the number of prior DUI offenses, ranging from fines to imprisonment.
License Suspension A guilty plea may result in a suspension of the defendant's driving privileges for a specified period.
Immigration Consequences Non-citizens may face deportation as a result of a DUI conviction.

How to Use Kentucky Aoc 495

Filling out the Kentucky AOC 495 form is an important step for individuals wishing to enter a guilty plea for DUI charges. Ensure that all sections are completed accurately to avoid delays in processing your plea.

  1. Obtain a copy of the Kentucky AOC 495 form. This can be found on the Kentucky Court of Justice website or through your attorney.
  2. In the top section, fill in the following details:
    • Case Number
    • Court Name
    • County Name
    • Citation Number
    • Violation Date
  3. Identify the parties involved by filling in the names of the Plaintiff and Defendant. Include the Defendant's address.
  4. Indicate whether the Defendant is appearing in person with counsel or without counsel by checking the appropriate box.
  5. In the first statement, specify the type of DUI offense (first, second, third, or fourth) and the specific charge being pled guilty to.
  6. Confirm that the Defendant's judgment is not impaired by drugs, alcohol, or medication.
  7. Indicate whether the Defendant has reviewed a copy of the citation.
  8. Check the box if the Defendant has discussed the case with their attorney and understands the charges and possible defenses.
  9. Read and acknowledge the rights listed in the form, ensuring understanding of the implications of pleading guilty.
  10. Review the potential penalties for the DUI offense being pled guilty to, ensuring comprehension of the consequences.
  11. Fill in the details regarding any plea agreement, including the recommendation made by the Commonwealth.
  12. State the facts that establish the Defendant's guilt or indicate reliance on the North Carolina v. Alford case if applicable.
  13. Confirm understanding of the potential future penalties and immigration consequences, if applicable.
  14. Finally, sign and date the form in the designated areas, including the Defendant’s signature and, if applicable, the signature of the defense attorney.

Your Questions, Answered

What is the purpose of the Kentucky AOC 495 form?

The Kentucky AOC 495 form is used for entering a guilty plea in DUI cases. When a defendant completes this form, they formally acknowledge their intent to plead guilty to DUI charges. The form outlines the rights being waived by the defendant, the potential penalties for the offense, and the conditions of the plea agreement. It serves as a crucial document in the legal process, ensuring that the defendant is fully aware of the implications of their plea.

What information is required on the AOC 495 form?

Several key pieces of information must be provided on the AOC 495 form, including:

  1. Case number and court details.
  2. Defendant's name and address.
  3. Details of the DUI offense, including the number of offenses.
  4. The date of the violation and citation number.
  5. A declaration of whether the defendant is represented by an attorney.
  6. A statement confirming the defendant's understanding of their rights and the consequences of pleading guilty.

This information helps the court process the plea accurately and ensures that all parties are informed about the case specifics.

What are the potential penalties for a DUI conviction in Kentucky?

Penalties for a DUI conviction in Kentucky vary based on the number of offenses within a 10-year period. Here’s a brief overview:

  • First Offense: Fines between $200 to $500, possible jail time of 48 hours to 30 days, and a license suspension for up to 6 months.
  • Second Offense: Fines between $350 to $500, 7 days to 6 months in jail, and a license suspension for up to 18 months.
  • Third Offense: Fines between $500 to $1,000, 30 days to 12 months in jail, and a license suspension for up to 36 months.
  • Fourth or Subsequent Offense: This is classified as a Class D felony, with penalties ranging from 1 to 5 years in prison and a license suspension for up to 60 months.

Additional costs and fees may also apply, including court costs and treatment program fees.

Can a defendant withdraw their guilty plea after submitting the AOC 495 form?

Yes, a defendant can withdraw their guilty plea under certain circumstances. If the court rejects the plea agreement, the defendant must be informed. They then have the option to either maintain their guilty plea or withdraw it and proceed to trial. It’s important for defendants to understand that withdrawing a plea may lead to a less favorable outcome, depending on the circumstances of the case.

Common mistakes

  1. Incomplete Information: One common mistake is failing to fill out all required fields completely. For instance, leaving the case number, court name, or citation number blank can lead to delays or complications in processing the plea.

  2. Misunderstanding the Charges: Defendants often mistakenly indicate the wrong offense level. It's crucial to accurately identify whether the DUI is a first, second, third, or subsequent offense, as this significantly impacts potential penalties.

  3. Not Consulting an Attorney: Some individuals choose to fill out the form without legal guidance. This can result in misunderstandings about rights and consequences. Consulting with an attorney can provide clarity and ensure that all aspects of the plea are understood.

  4. Ignoring the Consequences: Many people overlook the implications of pleading guilty. They may not fully grasp that this decision can lead to a loss of driving privileges and other legal penalties. It is vital to understand these consequences before proceeding.

Documents used along the form

The Kentucky AOC 495 form is used for entering a guilty plea in DUI cases. Alongside this form, several other documents may be required to ensure a comprehensive understanding of the legal process and the implications of the plea. Here’s a list of commonly used forms and documents that often accompany the AOC 495.

  • Plea Agreement: This document outlines the terms of the plea deal between the defendant and the prosecution, detailing the charges and any recommended sentences.
  • Judgment Order: A formal document issued by the court that records the guilty plea and outlines the court’s final decision, including penalties and any conditions imposed.
  • Sentencing Worksheet: This form assists the court in determining the appropriate sentence based on the nature of the offense and the defendant's criminal history.
  • Notice of Appeal: If a defendant wishes to contest the court's decision, this document formally initiates the appeal process, stating the grounds for appeal.
  • Defendant’s Statement: A personal statement from the defendant that may explain circumstances surrounding the offense, which can be considered during sentencing.
  • Waiver of Rights Form: This document confirms that the defendant understands and voluntarily waives certain rights, such as the right to a trial, in exchange for a plea agreement.
  • Traffic Citation: The original citation issued for the DUI offense, which includes details about the violation, such as date, time, and location.
  • Substance Abuse Evaluation: A report from a licensed professional assessing the defendant's substance use, which may influence sentencing or rehabilitation recommendations.
  • Ignition Interlock License Application: If applicable, this form is used to apply for a restricted license allowing the defendant to drive with an ignition interlock device installed.

These documents collectively help to create a clear picture of the case and ensure that all legal requirements are met during the plea process. Understanding each of these forms can significantly impact the outcome of a DUI case in Kentucky.

Similar forms

The Kentucky AOC-495 form is similar to the AOC-492 form, which is used for a plea of not guilty. Both documents require the defendant to acknowledge their rights and the implications of their plea. However, while the AOC-495 focuses on a guilty plea, the AOC-492 emphasizes the defendant's choice to contest the charges, highlighting the right to a trial and the need for legal representation.

Another document comparable to the AOC-495 is the AOC-496 form, which is utilized for a plea agreement. This form outlines the terms of the agreement between the defendant and the prosecution. Like the AOC-495, it requires the defendant's acknowledgment of their rights. However, the AOC-496 details the specific recommendations from the Commonwealth, making it essential for defendants who are negotiating their pleas.

The AOC-498 form, which deals with a motion to withdraw a guilty plea, shares similarities with the AOC-495. Both forms involve the defendant's plea process. The AOC-498 is used when a defendant wishes to change their plea after initially pleading guilty, emphasizing the need for a valid reason for the change, unlike the straightforward admission of guilt in the AOC-495.

Additionally, the AOC-497 form, which is a waiver of counsel, is relevant. This document allows defendants to represent themselves in court. While the AOC-495 confirms the defendant's understanding of their rights with legal counsel, the AOC-497 emphasizes the choice to waive that right, highlighting the importance of informed decision-making in the legal process.

The AOC-491 form, which is a notice of appeal, also relates to the AOC-495. Both documents are part of the legal proceedings following a guilty plea. The AOC-491 allows a defendant to appeal a court decision, while the AOC-495 captures the initial plea, making them both essential in the context of the judicial process.

Furthermore, the AOC-490 form, used for a sentencing order, is similar in that it follows the plea process. After a guilty plea is entered using the AOC-495, the AOC-490 formalizes the court's decision on sentencing. Both forms reflect the progression of a case through the judicial system, from plea to sentencing.

The AOC-493 form, which addresses a plea of no contest, also bears resemblance to the AOC-495. Both forms require the defendant to acknowledge their understanding of the plea process. However, the AOC-493 allows a defendant to avoid admitting guilt while still accepting the consequences, contrasting with the clear admission of guilt in the AOC-495.

Another relevant document is the AOC-499 form, which is used for a plea for a lesser charge. This form is similar to the AOC-495 in that it involves negotiations with the prosecution. However, the AOC-499 focuses on reducing charges rather than admitting guilt outright, providing an alternative route for defendants.

The AOC-500 form, which is a probation agreement, is also similar to the AOC-495. Both documents are part of the legal process following a plea. The AOC-500 outlines the terms of probation that may follow a guilty plea, while the AOC-495 captures the initial admission of guilt, showing the continuum of legal consequences.

Lastly, the AOC-501 form, which is used for a motion for a new trial, relates to the AOC-495 in the context of seeking to challenge a previous guilty plea. While the AOC-495 is focused on entering a plea, the AOC-501 allows a defendant to request a reconsideration of their case after a plea has been entered, demonstrating the ongoing nature of legal proceedings.

Dos and Don'ts

When filling out the Kentucky AOC 495 form, here are ten things to keep in mind:

  • Do read the entire form carefully before starting.
  • Do provide accurate information in all required fields.
  • Do check your spelling and grammar to avoid confusion.
  • Do sign and date the form in the designated areas.
  • Do consult with an attorney if you have questions about your plea.
  • Don't leave any sections blank unless instructed to do so.
  • Don't rush through the form; take your time to ensure accuracy.
  • Don't provide false information; this can have serious consequences.
  • Don't forget to include any required attachments or additional documents.
  • Don't submit the form without making a copy for your records.

Misconceptions

Understanding the Kentucky AOC 495 form is crucial for anyone navigating the legal landscape related to DUI charges. However, several misconceptions can cloud this understanding. Here are six common myths about the AOC 495 form, along with clarifications to help demystify it.

  • Misconception 1: The AOC 495 form is only for first-time offenders.
  • This is not true. The AOC 495 form is applicable for all DUI offenses, whether it’s the first, second, third, or subsequent offense. Each level of offense has its own penalties and requirements, and the form is designed to accommodate all of them.

  • Misconception 2: Pleading guilty means you will automatically receive the minimum penalty.
  • Pleading guilty does not guarantee a minimum penalty. While the court may consider recommendations from the Commonwealth, it has the discretion to impose any punishment within the legal range. This means penalties can vary significantly based on circumstances.

  • Misconception 3: The form is only necessary if you have an attorney.
  • Even if you are representing yourself, the AOC 495 form is still required. It serves as a formal document for entering a guilty plea, regardless of whether you have legal representation or not.

  • Misconception 4: Submitting the AOC 495 form means you cannot change your plea later.
  • This is a misunderstanding. If the court rejects the plea agreement, you have the option to withdraw your guilty plea and proceed to trial. The form does not lock you into your plea if circumstances change.

  • Misconception 5: You must be physically present in court to submit the AOC 495 form.
  • While it is typical to submit the form in court, there are instances where it may be possible to handle the plea through your attorney or other legal means. However, being present is generally encouraged to ensure you understand the proceedings.

  • Misconception 6: The AOC 495 form is only concerned with penalties and does not address rights.
  • This is incorrect. The AOC 495 form outlines important rights you waive by pleading guilty, including the right to a trial and the right to confront witnesses. Understanding these rights is essential before making a plea.

Key takeaways

When filling out and using the Kentucky AOC 495 form, there are several important considerations to keep in mind. Here are key takeaways to ensure a smooth process:

  • Understand the Purpose: The AOC 495 form is primarily used for defendants wishing to enter a guilty plea for DUI charges in Kentucky.
  • Provide Accurate Information: Ensure that all personal details, including case number, court, county, and citation number, are filled out correctly.
  • Clarify Your Plea: Clearly indicate whether you are pleading guilty to a first, second, third, or subsequent DUI offense, as this affects potential penalties.
  • Review Rights: Be aware that by pleading guilty, you waive certain constitutional rights, including the right to a trial and the right to appeal.
  • Discuss with Counsel: If you have an attorney, discuss all facts of your case with them to ensure you understand the implications of your plea.
  • Know the Penalties: Familiarize yourself with the legal penalties associated with your specific DUI offense, as they vary based on the number of offenses.
  • Consider Aggravating Circumstances: Understand that certain actions, like excessive speeding or causing injury, can lead to harsher penalties.
  • Be Prepared for Court: Sign the form in open court and be ready to answer any questions the judge may have regarding your plea.
  • Understand Future Implications: Recognize that a guilty plea may lead to enhanced penalties for any future offenses and could affect immigration status if you are not a U.S. citizen.