Blank Hawaii Quarantine PDF Form

Blank Hawaii Quarantine PDF Form

The Hawaii Quarantine form is a crucial document designed to ensure the safe and healthy entry of pets into the state of Hawaii. This form outlines the requirements and procedures for pet owners, including pre- and post-arrival guidelines, to protect both animals and residents from rabies. To facilitate your pet's move to Hawaii, please complete the form by clicking the button below.

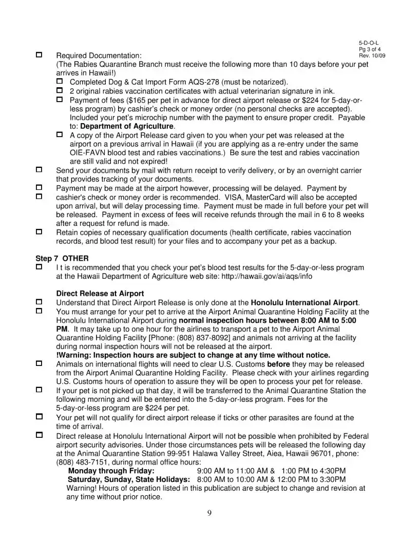
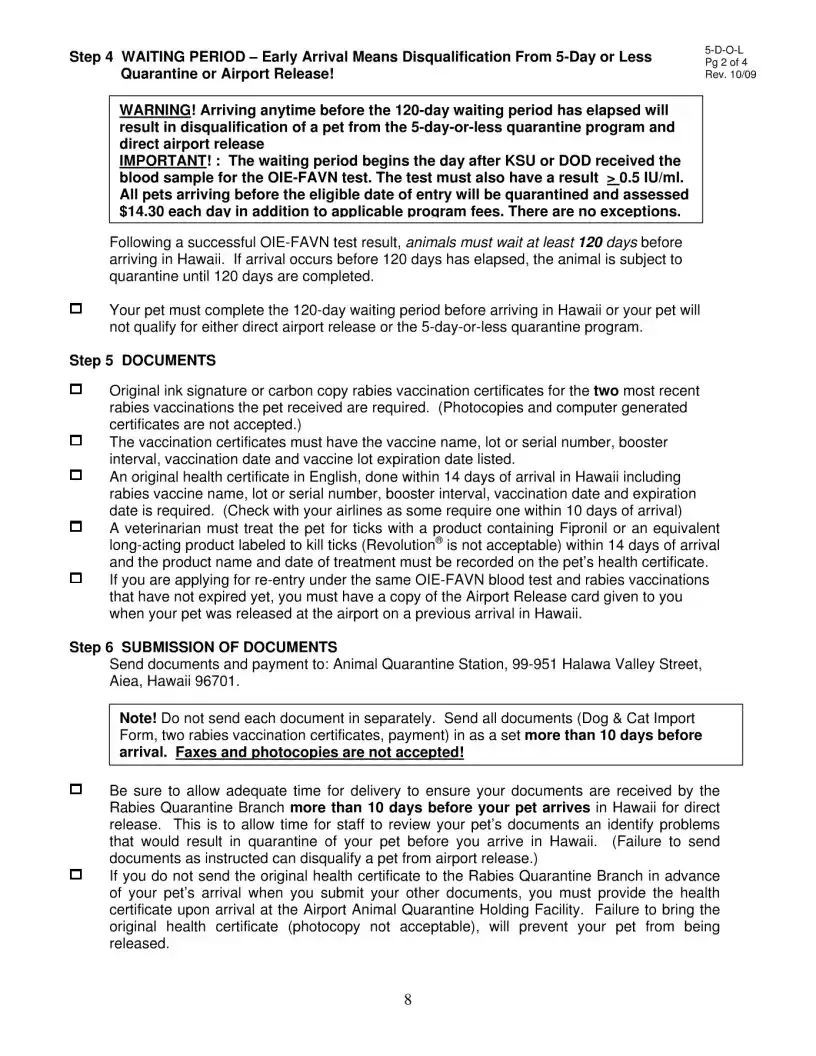
Traveling to Hawaii with pets requires careful planning, particularly due to the state's strict rabies quarantine regulations. The Hawaii Quarantine form is an essential document that outlines the necessary steps for bringing dogs and cats into the state. This form provides crucial information about pre- and post-arrival requirements, including the potential for quarantine periods of up to 120 days for pets that do not meet specific criteria. For those eligible, a 5-day-or-less program exists, allowing for a quicker release upon arrival. The form also details the Animal Quarantine Station's location, hours of operation, and contact information, making it easy for pet owners to seek assistance. Additionally, it addresses prohibited animals, guidelines for puppies and kittens, and the necessary preparations for pets residing in Hawaii. Understanding these requirements is vital for a smooth transition to the islands, ensuring the safety and well-being of both pets and the local ecosystem.

Document Sample

File Specifics

Fact Name Description
Hawaii's Rabies Quarantine Law Hawaii is the only rabies-free state in the U.S. All dogs and cats must meet specific import requirements to protect public health.
Governing Law Chapter 4-29 Hawaii Administrative Rules (HAR) governs the importation of dogs, cats, and other carnivores into Hawaii.
Quarantine Duration Pets that do not meet the 5-Day-or-Less program requirements may face quarantine for up to 120 days upon arrival.
Contact Information The Animal Quarantine Station can be reached at (808) 483-7151 for inquiries related to pet importation.

How to Use Hawaii Quarantine

Filling out the Hawaii Quarantine form is an essential step for pet owners planning to travel to Hawaii with their animals. This form collects important information about your pet and ensures compliance with the state's rabies quarantine laws. Once the form is completed, it will be submitted to the appropriate authorities for review.

  1. Access the Hawaii Quarantine form online through the official website or obtain a physical copy from the Animal Quarantine Station.
  2. Begin by entering your personal information, including your full name, address, phone number, and email address.
  3. Provide details about your pet, including its name, species, breed, age, and sex.
  4. Indicate the purpose of your pet's travel to Hawaii, such as relocation or vacation.
  5. Fill in the vaccination history, ensuring to include dates for rabies vaccinations and any other required vaccinations.
  6. Detail any previous travel history for your pet, including places visited prior to arriving in Hawaii.
  7. Review all entered information for accuracy and completeness.
  8. Sign and date the form to confirm that the information provided is true and correct.
  9. Submit the completed form either online or in person at the Animal Quarantine Station, as directed.

Your Questions, Answered

What is the Hawaii Quarantine form?

The Hawaii Quarantine form is a document that pet owners must complete to ensure compliance with Hawaii's strict rabies prevention laws. This form collects essential information about your pet, including vaccination history and health status. Completing this form accurately is crucial for a smooth entry process into the state.

Who needs to fill out the Hawaii Quarantine form?

All dogs and cats, regardless of age or purpose, must have a completed Hawaii Quarantine form before entering the state. This includes puppies and kittens. The form is part of the requirements set forth by Hawaii's Department of Agriculture to maintain its rabies-free status.

What are the consequences of not completing the form?

If you fail to complete the Hawaii Quarantine form, your pet may face a lengthy quarantine period of up to 120 days. This could lead to additional fees and stress for both you and your pet. Ensuring that the form is filled out correctly and submitted on time is essential to avoid these complications.

What information do I need to provide on the form?

The form requires various details, including:

  1. Your pet's name and species
  2. Vaccination history, especially rabies vaccinations
  3. Health status and any previous illnesses
  4. Your contact information

Make sure all information is accurate and up-to-date to prevent delays during processing.

How do I submit the Hawaii Quarantine form?

You can submit the Hawaii Quarantine form electronically or via mail. If submitting electronically, ensure that you follow the instructions provided on the Hawaii Department of Agriculture's website. If mailing, send it to the Animal Quarantine Station address listed on the form. Always keep a copy for your records.

What are the fees associated with the quarantine process?

Fees can vary based on the services required. For pets in transit, there is a $45.00 registration/health record fee and a $14.30 daily kenneling fee if the layover exceeds 24 hours. Additional costs may arise if your pet requires extended quarantine due to incomplete documentation.

Can I visit my pet during the quarantine period?

Yes, you can visit your pet during the quarantine period. However, visits are only allowed on specific days and times. For instance, visiting hours are typically on Tuesdays and Thursdays from 1:00 PM to 4:30 PM, and on weekends from 12:00 PM to 3:30 PM. Always check the latest visiting hours as they may change.

What should I do if I have more questions about the quarantine process?

If you have further questions, it’s best to contact the Hawaii Animal Quarantine Station directly. You can reach them by phone at (808) 483-7151 or via email at [email protected]. Their staff can provide detailed information and guidance tailored to your situation.

Common mistakes

  1. Incomplete Information: Failing to fill out all required fields can lead to delays or rejections. Ensure every section is completed accurately.

  2. Incorrect Pet Details: Providing wrong information about your pet, such as breed, age, or vaccination status, may result in extended quarantine.

  3. Missing Documentation: Not attaching necessary documents, like vaccination records or health certificates, can disqualify your pet from the 5-Day-or-Less program.

  4. Ignoring Deadlines: Submitting the form too late can lead to automatic quarantine. Be mindful of all deadlines for documentation and submission.

  5. Overlooking Special Requirements: Each pet may have specific requirements based on its health status or breed. Review the guidelines carefully.

  6. Failure to Confirm Receipt: Not verifying that your form was received can lead to unexpected issues upon arrival. Always check for confirmation.

  7. Neglecting Contact Information: Providing incorrect or outdated contact details can hinder communication regarding your pet's status.

Documents used along the form

When traveling to Hawaii with pets, it's essential to have all the necessary documentation in order to ensure a smooth process. Along with the Hawaii Quarantine form, several other forms and documents may be required. Here’s a brief overview of these important documents.

  • Rabies Vaccination Certificate: This document proves that your pet has been vaccinated against rabies. It must be issued by a licensed veterinarian and should include details about the vaccination date and the vaccine used.
  • OIE-FAVN Rabies Test Result: A passing result from this rabies blood test is crucial for pets traveling from certain locations. It shows that your pet's rabies vaccination is effective and meets Hawaii's import requirements.
  • Health Certificate: This certificate, issued by a veterinarian, confirms that your pet is healthy and fit for travel. It usually needs to be completed within a specific timeframe before departure.
  • Import Permit: Depending on your pet's origin, an import permit may be necessary. This document allows your pet to enter Hawaii legally and ensures compliance with local regulations.
  • 5-Day-or-Less Program Checklist: If your pet qualifies for this expedited program, this checklist will guide you through the required steps and documentation to ensure a shorter quarantine period.
  • Pet Transportation Records: Keep records of your pet's travel arrangements, including flight details and any layover information. This documentation can be crucial for managing your pet's quarantine status.
  • Proof of Ownership: Having documentation that proves ownership, such as adoption papers or purchase receipts, can be helpful in case of any disputes or questions regarding your pet's identity.

Gathering these documents ahead of time will help you avoid delays and complications upon arrival in Hawaii. Make sure to check the latest requirements, as regulations can change. Being prepared is key to a successful trip with your pet.

Similar forms

The Hawaii Quarantine form shares similarities with the USDA Animal Health Certificate. This certificate is essential for the interstate movement of pets and livestock. It ensures that animals are free from diseases and have received the necessary vaccinations. Like the Hawaii Quarantine form, the USDA certificate requires detailed information about the animal's health status and vaccination history. Both documents aim to protect public health and animal welfare, ensuring that pets do not introduce diseases into new environments.

Another document akin to the Hawaii Quarantine form is the International Health Certificate. This certificate is required for pets traveling internationally. It verifies that the animal meets the health requirements of the destination country. Similar to the Hawaii form, the International Health Certificate includes vaccination records and health assessments. Both documents serve to prevent the spread of diseases across borders, ensuring the safety of both animals and humans.

The Pet Travel Scheme (PETS) certificate is also comparable to the Hawaii Quarantine form. This document allows pet owners in the UK to travel with their pets to certain countries without quarantine. It requires proof of rabies vaccination, microchipping, and a health check. Like the Hawaii form, the PETS certificate is designed to facilitate safe travel while minimizing health risks associated with the movement of animals.

The Certificate of Veterinary Inspection (CVI) is another document similar to the Hawaii Quarantine form. This certificate is often required for pets traveling across state lines. It confirms that a veterinarian has examined the animal and found it healthy. The CVI, like the Hawaii form, includes details about the pet's vaccinations and health status, ensuring that animals do not carry infectious diseases into new areas.

The Animal Import Permit is also relevant in this context. This permit is often required for pets entering certain states or countries, including Hawaii. It outlines the specific health and vaccination requirements that must be met before an animal can enter a new location. Both the Animal Import Permit and the Hawaii Quarantine form are designed to protect local ecosystems and public health by regulating the entry of animals.

Another document that bears resemblance to the Hawaii Quarantine form is the Rabies Vaccination Certificate. This certificate proves that a pet has received the rabies vaccine, which is crucial for travel to many places, including Hawaii. Both documents emphasize the importance of vaccinations in preventing disease transmission. They serve as safeguards for both animals and the communities they enter.

The Veterinary Health Certificate is also similar to the Hawaii Quarantine form. This document is often required for pets traveling domestically or internationally. It certifies that a veterinarian has examined the animal and confirmed its health status. Like the Hawaii form, the Veterinary Health Certificate includes vaccination details and any necessary health checks, ensuring that pets are fit for travel.

Finally, the Import Health Certificate is comparable to the Hawaii Quarantine form. This certificate is required for pets being imported into various countries. It verifies that the animal meets the health standards of the destination country. Both documents aim to prevent the introduction of diseases and ensure that pets are healthy and safe for travel.

Dos and Don'ts

When filling out the Hawaii Quarantine form, it's essential to follow the guidelines carefully. Here’s a list of what to do and what to avoid:

  • Do read the entire information brochure before filling out the form.
  • Do ensure your pet meets all pre- and post-arrival requirements.
  • Do provide accurate and complete information about your pet.
  • Do submit the form well in advance of your travel date.
  • Do include any necessary documentation, such as vaccination records.
  • Don't leave any sections of the form blank.
  • Don't attempt to bring prohibited animals into Hawaii.
  • Don't ignore the specific requirements for puppies and kittens.
  • Don't forget to keep a copy of your submitted form for your records.
  • Don't wait until the last minute to gather required documents.

By following these guidelines, you can help ensure a smooth process for bringing your pet to Hawaii.

Misconceptions

Here are six common misconceptions about the Hawaii Quarantine form:

  • Pets can enter Hawaii without any requirements. This is false. All pets must meet specific import requirements to ensure Hawaii remains rabies-free.
  • Only dogs and cats need to be quarantined. Actually, all carnivores, including certain hybrids, are subject to the same regulations.
  • Once my pet is quarantined, I can't visit them. This is not true. Visiting hours are available for pet owners to see their animals during quarantine.
  • All pets can qualify for the 5-Day-or-Less program. Not all pets will qualify. They must meet specific pre- and post-arrival requirements to be eligible.
  • Quarantine is only for sick animals. This is a misconception. Quarantine is a preventive measure for all pets entering Hawaii, regardless of health status.
  • I can bring my puppy or kitten without any issues. Puppies and kittens require more time to meet the necessary requirements and may face longer quarantine periods if not prepared in advance.

Key takeaways

  • All pets, including puppies and kittens, must meet Hawaii's import requirements to avoid quarantine.

  • The 5-Day-or-Less Program allows for shorter quarantine if specific pre- and post-arrival requirements are met.

  • Pets that do not qualify for the 5-Day-or-Less Program may face a quarantine period of up to 120 days.

  • Non-domestic animals, including hybrids like wolves and Bengal cats, are prohibited from entering Hawaii.

  • Owners should obtain a copy of their pet’s passing OIE-FAVN rabies test result before leaving Hawaii to avoid extended quarantine upon return.

  • If pets are in transit through Hawaii, they may need to be quarantined if layover periods exceed 24 hours.

  • Advance notice is required for pets with long layovers, along with a complete itinerary, to ensure proper handling at the Airport Holding Facility.