Blank Hawaii Neighbor Island Permit PDF Form

Blank Hawaii Neighbor Island Permit PDF Form

The Hawaii Neighbor Island Permit form is essential for pet owners wishing to bring their dogs or cats to the islands of Kona, Kahului, or Lihue. This form ensures that all necessary health and vaccination requirements are met prior to arrival, helping to facilitate a smooth entry process for pets. To avoid complications, it is crucial to complete the form accurately and submit it well in advance of your travel date.

Ready to get started? Fill out the form by clicking the button below.

The Hawaii Neighbor Island Permit form serves as a critical document for pet owners planning to travel with their dogs or cats to the islands of Kona, Kahului, or Lihue. This form outlines essential procedures and requirements that must be adhered to in order to ensure the smooth entry of pets into these locations. A checklist is provided to guide owners through the necessary steps, which include verifying that all items have been read and understood. It is important to note that if these procedures are not followed, pets may be denied entry and could face transportation to Honolulu for inspection or be sent out-of-state at the owner's expense. Prior to booking a flight, owners are advised to contact a veterinary hospital to confirm their ability to conduct the required inspection. All pets must meet the criteria outlined in the “Checklist for the 5-Day-or-Less Program,” with documentation needing to be submitted at least 30 days before arrival. Required documents include a completed and notarized Dog & Cat Import Form, original rabies vaccination certificates, a payment of $145, and flight information. Additionally, owners must arrange for inspection with a designated veterinary hospital, which will confirm their agreement to perform the necessary procedures. The Animal Quarantine Station will issue the Neighbor Island Inspection Permit after confirming that all requirements have been met. This permit must accompany the pet during travel and presented upon arrival, as airlines are prohibited from transporting pets without it. Furthermore, an original health certificate dated within 14 days of arrival is required, with some airlines mandating that it be dated within 10 days. Adhering to these guidelines is essential for a successful and compliant travel experience for both pets and their owners.

Document Sample

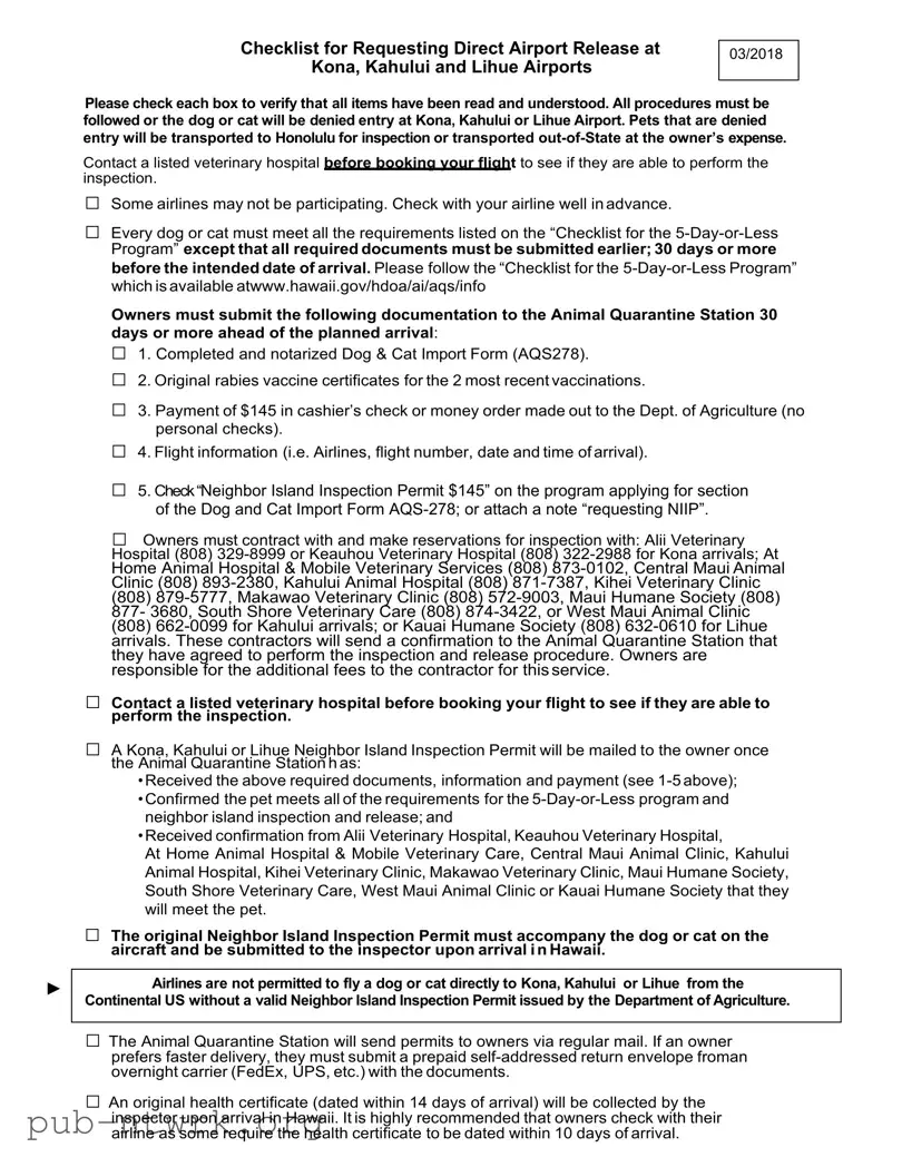
Checklist for Requesting Direct Airport Release at

03/2018

Kona, Kahului and Lihue Airports

 

 

 

Please check each box to verify that all items have been read and understood. All procedures must be followed or the dog or cat will be denied entry at Kona, Kahului or Lihue Airport. Pets that are denied entry will be transported to Honolulu for inspection or transported out-of-State at the owner’s expense.

Contact a listed veterinary hospital before booking your flight to see if they are able to perform the inspection.

Some airlines may not be participating. Check with your airline well in advance.

Every dog or cat must meet all the requirements listed on the “Checklist for the 5-Day-or-Less Program” except that all required documents must be submitted earlier; 30 days or more before the intended date of arrival. Please follow the “Checklist for the 5-Day-or-Less Program” which is available atwww.hawaii.gov/hdoa/ai/aqs/info

Owners must submit the following documentation to the Animal Quarantine Station 30 days or more ahead of the planned arrival:

1. Completed and notarized Dog & Cat Import Form (AQS278).

2. Original rabies vaccine certificates for the 2 most recent vaccinations.

3. Payment of $145 in cashier’s check or money order made out to the Dept. of Agriculture (no personal checks).

4. Flight information (i.e. Airlines, flight number, date and time of arrival).

5. Check“Neighbor Island Inspection Permit $145” on the program applying for section

of the Dog and Cat Import Form AQS-278; or attach a note “requesting NIIP”.

Owners must contract with and make reservations for inspection with: Alii Veterinary Hospital (808) 329-8999 or Keauhou Veterinary Hospital (808) 322-2988 for Kona arrivals; At Home Animal Hospital & Mobile Veterinary Services (808) 873-0102, Central Maui Animal Clinic (808) 893-2380, Kahului Animal Hospital (808) 871-7387, Kihei Veterinary Clinic (808) 879-5777, Makawao Veterinary Clinic (808) 572-9003, Maui Humane Society (808) 877- 3680, South Shore Veterinary Care (808) 874-3422, or West Maui Animal Clinic (808) 662-0099 for Kahului arrivals; or Kauai Humane Society (808) 632-0610 for Lihue arrivals. These contractors will send a confirmation to the Animal Quarantine Station that they have agreed to perform the inspection and release procedure. Owners are responsible for the additional fees to the contractor for this service.

Contact a listed veterinary hospital before booking your flight to see if they are able to perform the inspection.

A Kona, Kahului or Lihue Neighbor Island Inspection Permit will be mailed to the owner once the Animal Quarantine Stationhas:

Received the above required documents, information and payment (see 1-5 above);

Confirmed the pet meets all of the requirements for the 5-Day-or-Less program and neighbor island inspection and release; and

Received confirmation from Alii Veterinary Hospital, Keauhou Veterinary Hospital,

At Home Animal Hospital & Mobile Veterinary Care, Central Maui Animal Clinic, Kahului Animal Hospital, Kihei Veterinary Clinic, Makawao Veterinary Clinic, Maui Humane Society, South Shore Veterinary Care, West Maui Animal Clinic or Kauai Humane Society that they will meet the pet.

The original Neighbor Island Inspection Permit must accompany the dog or cat on the aircraft and be submitted to the inspector upon arrival in Hawaii.

Airlines are not permitted to fly a dog or cat directly to Kona, Kahului or Lihue from the Continental US without a valid Neighbor Island Inspection Permit issued by the Department of Agriculture.

The Animal Quarantine Station will send permits to owners via regular mail. If an owner prefers faster delivery, they must submit a prepaid self-addressed return envelope froman overnight carrier (FedEx, UPS, etc.) with the documents.

An original health certificate (dated within 14 days of arrival) will be collected by the inspector upon arrival in Hawaii. It is highly recommended that owners check with their airline as some require the health certificate to be dated within 10 days of arrival.

File Specifics

Fact Name Details
Purpose of the Permit The Hawaii Neighbor Island Inspection Permit allows pets to be released directly at Kona, Kahului, or Lihue Airports, provided all requirements are met.
Documentation Requirements Owners must submit a notarized Dog & Cat Import Form (AQS-278), rabies vaccine certificates, payment, flight information, and a request for the Neighbor Island Inspection Permit 30 days prior to arrival.
Inspection Contractors Owners must arrange inspections with specific veterinary hospitals before flying. These contractors will confirm their ability to perform the inspection to the Animal Quarantine Station.
Permit Issuance The Neighbor Island Inspection Permit is mailed to the owner after all documents are received and confirmed by the Animal Quarantine Station.
Health Certificate A health certificate, dated within 14 days of arrival, must be presented to the inspector upon arrival in Hawaii. Some airlines may have stricter requirements.
Governing Law The Neighbor Island Inspection Permit is governed by the Hawaii Revised Statutes, Chapter 143-2, which outlines animal importation regulations.

How to Use Hawaii Neighbor Island Permit

Completing the Hawaii Neighbor Island Permit form is a crucial step in ensuring that your pet can travel to Hawaii without complications. Following the outlined steps will help you gather the necessary documentation and information required for the permit application process.

  1. Read the checklist on the form to ensure you understand all requirements.
  2. Confirm that your airline participates in the program by contacting them well in advance.
  3. Gather the required documents, including:
    • A completed and notarized Dog & Cat Import Form (AQS-278).
    • Original rabies vaccine certificates for the two most recent vaccinations.
    • A cashier's check or money order for $145 made out to the Dept. of Agriculture.
    • Your flight information, including the airline, flight number, and date and time of arrival.
    • A note requesting the Neighbor Island Inspection Permit (NIIP) or checking the appropriate box on the AQS-278 form.
  4. Contact and make reservations for inspection with one of the listed veterinary hospitals based on your arrival location.
  5. Submit all gathered documents and payment to the Animal Quarantine Station at least 30 days before your planned arrival.
  6. Wait for the Animal Quarantine Station to confirm receipt of your documents and payment, and to send you the Neighbor Island Inspection Permit.
  7. Ensure that the original Neighbor Island Inspection Permit accompanies your pet on the aircraft.
  8. Prepare an original health certificate dated within 14 days of arrival to present to the inspector upon arrival in Hawaii.

Your Questions, Answered

What is the Hawaii Neighbor Island Permit form?

The Hawaii Neighbor Island Permit form is a required document for pet owners who wish to bring their dogs or cats to the neighbor islands of Hawaii, specifically Kona, Kahului, and Lihue. This form ensures that pets meet all health and vaccination requirements before entering these areas.

What are the requirements for submitting the Neighbor Island Permit form?

To successfully submit the Neighbor Island Permit form, pet owners must complete several steps:

  1. Complete and notarize the Dog & Cat Import Form (AQS278).
  2. Provide original rabies vaccine certificates for the two most recent vaccinations.
  3. Submit a payment of $145 via cashier’s check or money order made out to the Department of Agriculture.
  4. Include flight information, such as the airline, flight number, and date and time of arrival.
  5. Check the "Neighbor Island Inspection Permit $145" option on the form or attach a note requesting the permit.

How far in advance must I submit the permit application?

Pet owners must submit the required documentation and payment at least 30 days before the intended date of arrival in Hawaii. This advance notice is crucial for ensuring that all inspections and confirmations can be completed on time.

What happens if I do not follow the procedures?

If the procedures are not followed, your pet may be denied entry at Kona, Kahului, or Lihue Airport. In such cases, the pet will either be transported to Honolulu for inspection or sent out of state at the owner's expense. Following all guidelines is essential to avoid these complications.

Which veterinary hospitals can I contact for inspection?

Pet owners must contract with specific veterinary hospitals for inspection. Here are some options based on arrival locations:

  • Kona: Alii Veterinary Hospital (808-329-8999), Keauhou Veterinary Hospital (808-322-2988)
  • Kahului: At Home Animal Hospital (808-873-0102), Central Maui Animal Clinic (808-893-2380), Kahului Animal Hospital (808-871-7387), Kihei Veterinary Clinic (808-879-5777), Makawao Veterinary Clinic (808-572-9003), Maui Humane Society (808-877-3680), South Shore Veterinary Care (808-874-3422), West Maui Animal Clinic (808-662-0099)
  • Lihue: Kauai Humane Society (808-632-0610)

When will I receive the Neighbor Island Inspection Permit?

The Animal Quarantine Station will mail the Neighbor Island Inspection Permit to the owner after confirming that all required documents, payment, and veterinary confirmations have been received. This process ensures that your pet meets all necessary requirements for entry.

What documentation is needed upon arrival in Hawaii?

Upon arrival, an original health certificate dated within 14 days of arrival must be presented to the inspector. It is important to check with your airline, as some may require the health certificate to be dated within 10 days of arrival.

Common mistakes

  1. Failing to check if the airline participates in the program. Some airlines may not be involved, leading to complications at the airport.

  2. Not submitting the required documentation 30 days in advance. This includes the completed Dog & Cat Import Form and vaccination certificates.

  3. Using personal checks for payment. Only cashier’s checks or money orders made out to the Dept. of Agriculture are accepted.

  4. Neglecting to provide complete flight information. Missing details like the airline, flight number, or arrival time can delay the process.

  5. Forgetting to check the box for the “Neighbor Island Inspection Permit” on the import form. This step is crucial for a smooth entry.

  6. Overlooking the need to contact a veterinary hospital before booking a flight. It’s essential to ensure they can perform the inspection.

  7. Not confirming the inspection reservation with a veterinary contractor. This confirmation is required for the Animal Quarantine Station to proceed.

  8. Failing to include a prepaid self-addressed return envelope if faster delivery of the permit is desired. Regular mail may take longer.

  9. Not having an original health certificate ready. This certificate must be dated within 14 days of arrival and is collected upon entry.

  10. Assuming that the Neighbor Island Inspection Permit will be automatically issued. It must be mailed after all requirements are met.

Documents used along the form

When preparing to bring your pet to Hawaii's Neighbor Islands, it's essential to understand the various forms and documents required for a smooth entry process. Each document plays a crucial role in ensuring your pet's safe and compliant arrival. Here’s a brief overview of some key documents that are often used alongside the Hawaii Neighbor Island Permit form.

  • Dog & Cat Import Form (AQS-278): This completed and notarized form is essential for importing your pet into Hawaii. It includes important information about your pet and confirms that you have met all health and vaccination requirements.
  • Rabies Vaccination Certificates: You must provide original certificates for the two most recent rabies vaccinations. These documents demonstrate that your pet has been vaccinated according to Hawaii's strict regulations.
  • Health Certificate: This document, issued by a licensed veterinarian, must be dated within 14 days of your pet's arrival in Hawaii. It confirms that your pet is in good health and free from contagious diseases.
  • Payment Confirmation: A cashier’s check or money order for the inspection fee must accompany your application. This payment is necessary to process your Neighbor Island Inspection Permit.

Each of these documents is vital for ensuring that your pet can travel safely and legally to Hawaii's Neighbor Islands. Preparing these forms in advance can help avoid unnecessary delays and complications during your journey. Always double-check the requirements before your trip, and consult with a local veterinary hospital if you have any questions.

Similar forms

The Hawaii Neighbor Island Permit form shares similarities with the USDA Animal Health Certificate. Both documents require pet owners to provide proof of their pet's health status before traveling. The Animal Health Certificate must be completed by a licensed veterinarian and includes vaccination records, much like the requirements outlined in the Neighbor Island Permit form. Both forms aim to ensure that animals are healthy and do not pose a risk to local wildlife or other pets upon arrival.

Another document that is comparable is the International Health Certificate. This certificate is necessary for pets traveling internationally and includes vaccination records and health checks. Like the Neighbor Island Permit, it must be signed by a veterinarian and submitted in advance of travel. Both documents serve to protect the health of animals during transit and ensure compliance with specific regulations set by authorities.

The Rabies Vaccination Certificate is also similar. This document confirms that a pet has received its rabies vaccinations, which is a requirement for both the Neighbor Island Permit and many other travel-related forms. The certificate must be current and include details about the vaccine, such as the date administered and the veterinarian’s information. This ensures that pets are adequately protected against rabies before entering new environments.

The Pet Travel Scheme (PETS) certificate is another relevant document. This scheme allows pets to travel between certain countries without undergoing quarantine, provided they meet specific health requirements. Like the Neighbor Island Permit, the PETS certificate requires proof of vaccinations and health checks. Both documents prioritize the health and safety of pets during travel.

The Certificate of Good Health is another document that aligns closely with the Neighbor Island Permit. This certificate is issued by a veterinarian and confirms that a pet is fit for travel. It typically includes vaccination records and health assessments, ensuring that pets are healthy enough to travel. Both documents serve to reassure airlines and authorities that the animals do not pose a health risk.

Additionally, the Animal Quarantine Permit is similar in its purpose. This permit is necessary for pets entering certain regions, including Hawaii. It requires documentation of vaccinations and health checks, similar to what is required in the Neighbor Island Permit form. Both permits aim to regulate the entry of animals to prevent the spread of diseases.

Lastly, the Import Permit for Animals is comparable. This document is required for animals entering the United States from other countries. Like the Neighbor Island Permit, it necessitates that owners submit various health documents and vaccination records prior to travel. Both permits are essential for ensuring that animals are healthy and compliant with regulations upon arrival.

Dos and Don'ts

When filling out the Hawaii Neighbor Island Permit form, it is essential to follow specific guidelines to ensure a smooth process. Here’s a list of things you should and shouldn't do:

  • Do check with your airline to confirm participation in the program before making any travel arrangements.
  • Do submit all required documentation at least 30 days before your pet's arrival.
  • Do ensure the Dog & Cat Import Form (AQS278) is completed and notarized.
  • Do include original rabies vaccine certificates for the two most recent vaccinations.
  • Do prepare a cashier’s check or money order for the $145 fee, made out to the Department of Agriculture.
  • Don't use personal checks for payment; only cashier’s checks or money orders are accepted.
  • Don't forget to provide flight information, including the airline, flight number, and arrival date and time.
  • Don't neglect to contact a veterinary hospital to confirm their ability to perform the inspection.
  • Don't overlook the requirement to have the original Neighbor Island Inspection Permit with your pet upon arrival.

By adhering to these guidelines, you can help ensure that your pet’s entry into Hawaii goes smoothly and without unnecessary delays.

Misconceptions

There are several misconceptions surrounding the Hawaii Neighbor Island Permit form that can lead to confusion for pet owners. Here’s a breakdown of ten common myths:

  1. All airlines participate in the program. Many airlines do not participate in the Neighbor Island Inspection Permit program. Always check with your airline ahead of time.
  2. Documents can be submitted last minute. In reality, all required documents must be submitted at least 30 days before your pet's arrival. Planning ahead is crucial.
  3. Any veterinary hospital can perform the inspection. Only specific veterinary hospitals are authorized to conduct the inspection. Contact one of the listed hospitals to make arrangements.
  4. Personal checks are accepted for payment. This is incorrect. Only cashier’s checks or money orders made out to the Department of Agriculture are accepted.
  5. The Neighbor Island Inspection Permit is issued immediately. The permit is mailed after the Animal Quarantine Station has confirmed all requirements are met, which can take time.
  6. Pets can fly without a health certificate. A health certificate, dated within 14 days of arrival, is mandatory. Some airlines may require it to be dated within 10 days.
  7. The inspection is free of charge. There are additional fees for the inspection service provided by the contracted veterinary hospitals.
  8. All pets are guaranteed entry into Hawaii. If requirements are not met, pets may be denied entry and transported at the owner's expense.
  9. The Neighbor Island Inspection Permit is not needed for direct flights. This is false. A valid permit is required for all pets flying directly to Kona, Kahului, or Lihue.
  10. Any return envelope will suffice for faster delivery. Only a prepaid self-addressed return envelope from an overnight carrier will expedite the permit delivery.

Understanding these points can help ensure a smooth process for bringing your pet to Hawaii. Always double-check the requirements and communicate with the necessary parties to avoid any last-minute surprises.

Key takeaways

Key Takeaways for Filling Out and Using the Hawaii Neighbor Island Permit Form:

  1. Ensure you have read and understood all items on the checklist for requesting direct airport release.
  2. Follow all procedures carefully; failure to do so may result in your pet being denied entry.
  3. Contact your airline in advance to confirm their participation in the program.
  4. Submit all required documents at least 30 days before your intended arrival date.
  5. Prepare the completed and notarized Dog & Cat Import Form (AQS278) for submission.
  6. Include original rabies vaccine certificates for your pet's two most recent vaccinations.
  7. Make a payment of $145 via cashier’s check or money order, payable to the Department of Agriculture.
  8. Provide your flight information, including airline, flight number, and date and time of arrival.
  9. Contract with a veterinary hospital for inspection and ensure they confirm their agreement to the Animal Quarantine Station.
  10. Keep the original Neighbor Island Inspection Permit with your pet during travel and present it upon arrival.

By following these steps, you can help ensure a smooth entry for your pet into Hawaii.