Blank Florida 3170 PDF Form

Blank Florida 3170 PDF Form

The Florida 3170 form is a crucial application for health care licensing related to clinical laboratories, specifically for non-waived tests. This form is used when a laboratory seeks to add a specialty, subspecialty, or make changes outside of the regular licensure renewal process. To avoid delays and fines, it’s essential to complete and submit this form well in advance of any deadlines.

Ready to get started? Fill out the form by clicking the button below.

The Florida 3170 form is a crucial document for those seeking to modify their clinical laboratory licenses. Specifically designed for non-waived laboratories, this application facilitates the addition or change of specialties or subspecialties outside the usual licensure renewal period. To ensure a smooth application process, applicants must adhere to guidelines set forth in Florida Statutes and Administrative Codes. Key requirements include submitting a complete application at least 60 days before the current license expires, as late submissions incur fees. Essential attachments include proof of the lab director's qualifications, a completed federal CMS 116 form, and evidence of Level 2 background screenings for both the lab director and financial officer. The application must also be accompanied by the appropriate fees, which are nonrefundable. All documentation should be organized and sent to the Agency for Health Care Administration to avoid delays. Understanding the nuances of the Florida 3170 form is essential for compliance and successful operation of clinical laboratories in the state.

Document Sample

File Specifics

Fact Name Description
Governing Laws The Florida 3170 form is governed by Chapter 483, Part I, Florida Statutes (F.S.), Chapter 408, Part II, F.S., and Chapters 59A-35 and 59A-7, Florida Administrative Code (F.A.C.).
Submission Deadline Applications must be submitted at least 60 days before the expiration of the current license to avoid late fees.
Late Fees If the application is received less than 60 days before the expiration date, it will incur a late fee as outlined in the statute.
Withdrawal of Application The application will be withdrawn from review if all required documents and fees are not submitted within 21 days of an omission notice.
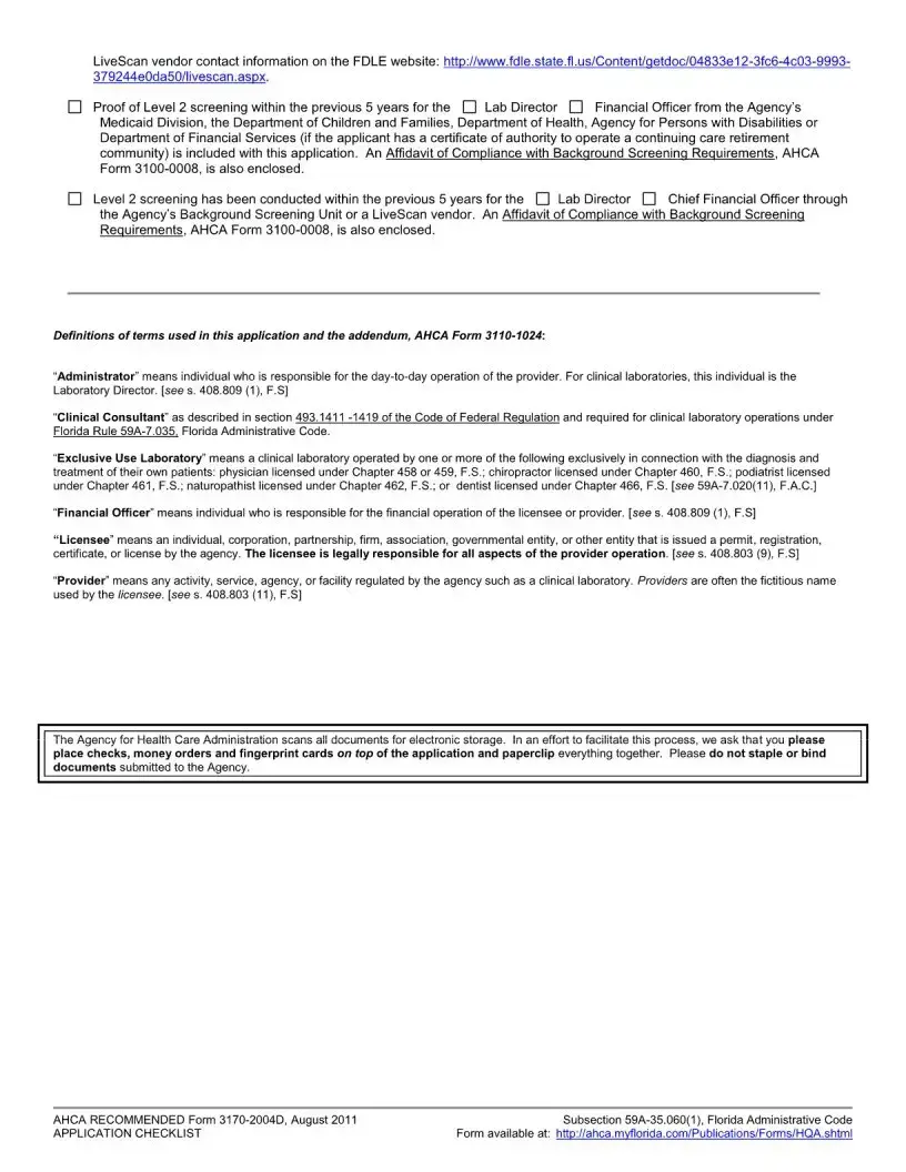
Background Screening Level 2 background screening for the Lab Director and Financial Officer is required every five years.
Payment Details All fees must be nonrefundable and checks or money orders should be made payable to the Agency for Health Care Administration.

How to Use Florida 3170

Filling out the Florida 3170 form is an important step for clinical laboratories seeking to add or change specialties. Follow these steps carefully to ensure your application is complete and submitted correctly.

  1. Obtain the Florida 3170 form from the Agency for Health Care Administration's website or office.
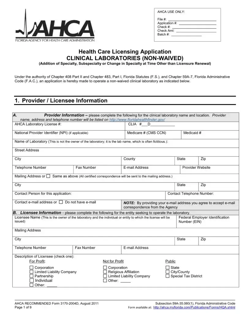
  2. Fill in your laboratory's name and address at the top of the form.
  3. Provide the license number of your clinical laboratory, if applicable.
  4. Indicate the type of change you are applying for: addition of specialty, subspecialty, or change in specialty.
  5. Attach a completed federal CMS 116 form.
  6. Include a copy of the medical or professional license for the lab director.
  7. Provide documentation that shows the lab director's qualifications, including laboratory experience or training.
  8. Complete the Level 2 background screening for both the Lab Director and Financial Officer. Indicate if you used a LiveScan vendor approved by the Florida Department of Law Enforcement.
  9. If applicable, submit a fingerprint card for out-of-state directors or financial officers.
  10. Include proof of Level 2 screening conducted within the last five years.
  11. Attach an Affidavit of Compliance with Background Screening Requirements (AHCA Form 3100-0008).
  12. Make a check or money order for the licensure fee payable to the Agency for Health Care Administration. Ensure it is not a starter or temporary check.
  13. Organize your documents by placing checks, money orders, and fingerprint cards on top of the application. Use a paperclip to keep everything together.
  14. Mail the completed application and all attachments to the Agency for Health Care Administration, Lab Unit, 2727 Mahan Drive, Mail Stop 32, Tallahassee, FL 32308.

After submitting your application, the Agency will review it. If any documents are missing, you will receive an omission notice. Make sure to respond quickly to avoid withdrawal of your application.

Your Questions, Answered

What is the Florida 3170 form?

The Florida 3170 form is the Health Care Licensing Application for Clinical Laboratories, specifically for non-waived tests. It is used when applying for the addition of a specialty, subspecialty, or a change in specialty at times other than the licensure renewal.

What documents are required to submit with the Florida 3170 form?

Applicants must include several attachments as outlined in Florida Statutes and Administrative Code. These include:

  • A completed federal CMS 116 form.
  • A copy of the medical/professional license.
  • Evidence of the director's qualifications.
  • Level 2 background screening results for the Lab Director and Financial Officer.
  • Affidavit of Compliance with Background Screening Requirements.

When should the application be submitted?

Applications must be submitted at least 60 days prior to the expiration of the current license or the effective date of a change in ownership. Late submissions may incur additional fees.

What happens if I miss the 60-day deadline?

If the application is received less than 60 days before the expiration date, it will incur a late fee. The applicant will be notified of the amount of the fee during the application process.

What are the payment methods for the application fee?

The application fee must be paid via check or money order made out to the Agency for Health Care Administration. Please note that starter checks and temporary checks are not accepted, and all fees are nonrefundable.

How can I ensure my background screening is valid?

The Lab Director and Financial Officer must undergo Level 2 background screening every five years. The screening results should be sent directly to the Agency for review. If using a LiveScan vendor, ensure they are approved by the Florida Department of Law Enforcement.

What if the Lab Director or Financial Officer is out of state?

If they are out of state and cannot access a Florida LiveScan vendor, they must obtain a fingerprint card from the Agency. This card must be submitted to the Agency’s contracted vendor along with the required fees.

Where should I send the completed application?

Completed applications should be sent to the following address: Agency for Health Care Administration, Lab Unit, 2727 Mahan Drive, Mail Stop 32, Tallahassee, FL 32308.

What should I do if I have additional questions?

If you have further questions, you can contact the Agency’s Background Screening Section at (850) 412-4503 or email [email protected] for assistance.

Common mistakes

  1. Missing Required Attachments: Many applicants forget to include all necessary documents. This can lead to delays or even withdrawal of the application. Always double-check the checklist provided to ensure you have everything needed.

  2. Submitting Late: Applications must be submitted at least 60 days before the current license expires. Failing to meet this deadline may result in a late fee. Be mindful of the timeline to avoid unnecessary costs.

  3. Incorrect Payment Method: Some applicants mistakenly use starter or temporary checks, which are not accepted. Ensure that you use a valid check or money order made out to the Agency for Health Care Administration.

  4. Inadequate Background Screening: Failing to complete the Level 2 background screening correctly can cause significant issues. Make sure to follow the guidelines and use an approved LiveScan vendor for the screening.

  5. Improper Document Organization: Submitting documents in a disorganized manner can hinder the review process. It is important to paperclip all documents together and avoid stapling or binding them, as instructed.

Documents used along the form

The Florida 3170 form is a critical component in the application process for clinical laboratories seeking to add specialties or make changes outside of the standard licensure renewal. Along with this form, several other documents are typically required to ensure compliance with state regulations. Below is a list of commonly used forms and documents that accompany the Florida 3170 form.

  • Provider Performed Microscopy Evaluation Survey: This survey is necessary for laboratories that perform limited procedures to provider-performed microscopy. It assesses compliance with relevant standards.
  • CMS 116 Form: A completed federal form required for laboratories to participate in Medicare and Medicaid programs, ensuring adherence to federal guidelines.
  • Medical/Professional License Copy: A copy of the medical or professional license is needed to verify the qualifications of the laboratory director and ensure they meet state requirements.
  • Background Screening Validation Form: This form is used to confirm that the laboratory director and financial officer have undergone Level 2 background screening, which is mandatory every five years.
  • Affidavit of Compliance with Background Screening Requirements: This affidavit certifies that the necessary background screenings have been completed and are included with the application.
  • Fingerprint Card: Required for out-of-state laboratory directors or financial officers, this card must be submitted for background checks through an approved vendor.

Submitting the Florida 3170 form along with the necessary supporting documents is essential for a smooth application process. Ensure that all forms are completed accurately and submitted in a timely manner to avoid delays or potential fines.

Similar forms

The Florida 3160 form, which is used for the Health Care Licensing Application for Clinical Laboratories, shares similarities with the Florida 3170 form. Both forms require applicants to submit detailed information about their laboratory operations, including the addition or change of specialties. Each form mandates the inclusion of specific documentation, such as proof of qualifications for lab directors and financial officers, and both forms emphasize the importance of adhering to submission deadlines to avoid late fees.

The Florida 3200 form is another document that parallels the Florida 3170 form. This form is utilized for the application process related to health care facility licensure. Similar to the 3170 form, it requires detailed information about the facility, including ownership, management, and operational procedures. Both forms also necessitate background screenings for key personnel, ensuring compliance with state regulations for health care providers.

The Florida 3300 form, which pertains to the licensing of home health agencies, is akin to the Florida 3170 form in that it requires a comprehensive application process. Each form mandates that applicants provide evidence of qualifications and relevant experience for management personnel. Additionally, both forms include stipulations for timely submission to prevent penalties, reflecting the regulatory oversight of health care facilities in Florida.

The Florida 3400 form, used for licensing assisted living facilities, shares a similar structure with the Florida 3170 form. Both documents require applicants to submit various supporting documents, including proof of compliance with health and safety standards. They also both emphasize the importance of background checks for administrative staff, ensuring that individuals in charge meet the necessary qualifications to operate health care facilities.

The Florida 3500 form is utilized for the licensure of nursing homes and is comparable to the Florida 3170 form. Each form requires a detailed application that includes information about the facility's operations and management. Both documents also mandate that applicants demonstrate compliance with state regulations through the submission of various forms and documentation, including background checks for key personnel.

The Florida 3600 form, related to the licensing of hospice services, is similar to the Florida 3170 form in that it requires a thorough application process. Both forms necessitate the submission of documentation that verifies the qualifications of management staff and compliance with health care regulations. Timeliness in submitting these applications is crucial for both forms to avoid additional fees.

The Florida 3700 form, which is for the licensing of adult day care centers, shares key features with the Florida 3170 form. Each form requires applicants to provide comprehensive information about their operations and staff qualifications. Additionally, both forms emphasize the importance of adhering to submission deadlines and include background screening requirements for personnel involved in the facility's management.

The Florida 3800 form is used for the licensure of mental health facilities and is similar to the Florida 3170 form in its structure and requirements. Both forms necessitate the submission of extensive documentation regarding the facility's operations and management qualifications. Furthermore, they both require background checks for key staff to ensure that individuals in charge meet the standards set by the state.

The Florida 3900 form pertains to the licensing of substance abuse treatment facilities and shares similarities with the Florida 3170 form. Each form requires applicants to submit detailed information about their services, management qualifications, and compliance with regulatory standards. Both forms also emphasize the necessity of timely submission to avoid penalties, reflecting the state's commitment to overseeing health care services.

Finally, the Florida 4000 form, which is for the licensing of emergency medical services, is comparable to the Florida 3170 form in that both require a comprehensive application process. Each form mandates the inclusion of supporting documentation that verifies the qualifications of personnel and compliance with state regulations. Timely submission is also a common requirement, ensuring that applicants meet the necessary deadlines to avoid late fees.

Dos and Don'ts

When filling out the Florida 3170 form, it is essential to follow specific guidelines to ensure a smooth application process. Below is a list of things you should and shouldn't do:

  • Do ensure that you submit the application at least 60 days before the expiration of your current license.
  • Do include all required attachments and documents to avoid withdrawal of your application.
  • Do make your payment by check or money order, payable to the Agency for Health Care Administration.
  • Do confirm that the Lab Director and Financial Officer have completed a Level 2 background screening.
  • Don't use starter checks or temporary checks for payment, as they are not accepted.
  • Don't forget to provide evidence of the director’s qualifications, including laboratory experience and training.
  • Don't submit your application without ensuring that all forms are correctly filled out and signed.
  • Don't staple or bind the documents; instead, paperclip everything together for submission.

Misconceptions

When dealing with the Florida 3170 form, there are several misconceptions that can lead to confusion for applicants. Understanding these misconceptions can help streamline the application process and ensure compliance with regulations.

  • Misconception 1: The Florida 3170 form is only for new applicants.
  • This form is also used for existing laboratories seeking to add specialties or make changes outside of the regular renewal process.

  • Misconception 2: Submitting the application late has no consequences.
  • In fact, if the application is submitted less than 60 days before the license expiration, a late fee will apply, and the application may be withdrawn if not completed within 21 days of an omission notice.

  • Misconception 3: Any form of payment is acceptable for fees.
  • Only checks or money orders made out to the Agency for Health Care Administration are accepted. Starter checks and temporary checks are not permitted.

  • Misconception 4: Background screenings are optional.
  • Level 2 background screenings for both the Lab Director and Financial Officer are mandatory every five years, and failure to comply can result in delays.

  • Misconception 5: The application can be submitted without all required documents.
  • All required documents must be included; otherwise, the application will be withdrawn from review if omissions are not addressed within the specified timeframe.

  • Misconception 6: Fingerprint cards can be submitted without proper processing.
  • Fingerprint cards must be filled out correctly and processed by trained law enforcement personnel. Incomplete submissions can lead to additional fees and screenings.

  • Misconception 7: The Agency does not need to be informed about the screening results.
  • It is crucial that all screening results be sent to the Agency for review. If the Agency does not receive them, further action may be required.

  • Misconception 8: The application process is straightforward and quick.
  • While the process can be efficient, it requires careful attention to detail and adherence to deadlines to avoid complications. Applicants should plan accordingly.

Key takeaways

  • Applicants must submit the Florida 3170 form at least 60 days before the expiration of their current license or the effective date of a change in ownership to avoid incurring a late fee.

  • If the application is received less than 60 days before the expiration date, a late fee will apply. The amount of this fee will be communicated to the applicant during the application process.

  • Failure to include all required documents and fees will result in the application being withdrawn from review if the omissions are not corrected within 21 days of receiving a notice.

  • All forms and documents necessary for the application can be obtained from the Agency for Health Care Administration’s website.

  • Level 2 background screening is mandatory for both the Lab Director and Financial Officer, and it must be completed every five years. Screening results should be sent directly to the Agency for review.

  • It is essential to send the completed application, along with all required attachments, to the specified address: Agency for Health Care Administration, Lab Unit, 2727 Mahan Drive, Mail Stop 32, Tallahassee, FL 32308.