Blank California Nc 410 PDF Form

Blank California Nc 410 PDF Form

The California NC-410 form is an application used in name change proceedings under the Address Confidentiality Program, also known as Safe at Home. This form allows individuals to request that certain documents be filed under seal to protect their privacy, particularly in cases involving domestic violence, stalking, or sexual assault. To proceed with your application, please fill out the form by clicking the button below.

The California NC 410 form serves as a crucial document for individuals seeking to change their name while ensuring their personal information remains confidential. This form is specifically designed for participants in the Secretary of State's Address Confidentiality Program, known as Safe at Home, which aims to protect those who may be victims of domestic violence, stalking, or sexual assault. When completing the NC 410, petitioners must provide detailed information about themselves and the specific reasons for their name change request. The form requires the submission of various supporting documents, including the Petition for Change of Name and a Declaration in Support of Application to File Documents Under Seal. These documents must be filed with the superior court in the county where the petitioner resides. Importantly, the NC 410 allows for the sealing of sensitive information, ensuring that the court protects the petitioner's privacy throughout the legal process. By adhering to the guidelines set forth in this form, individuals can navigate the complexities of name change proceedings while prioritizing their safety and confidentiality.

Document Sample

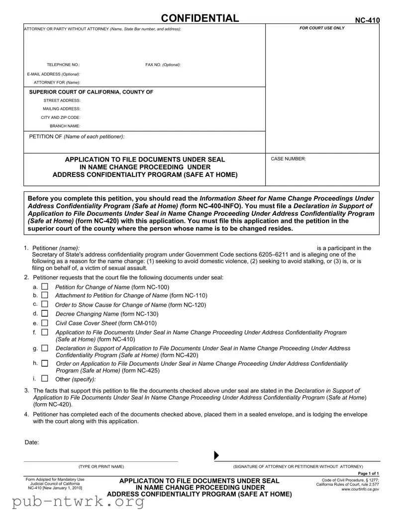
CONFIDENTIAL

NC-410

ATTORNEY OR PARTY WITHOUT ATTORNEY (Name, State Bar number, and address):

FOR COURT USE ONLY

 

TELEPHONE NO.:

FAX NO. (Optional):

 

E-MAIL ADDRESS (Optional):

 

 

ATTORNEY FOR (Name):

 

 

 

 

SUPERIOR COURT OF CALIFORNIA, COUNTY OF

 

STREET ADDRESS:

 

 

MAILING ADDRESS:

 

 

CITY AND ZIP CODE:

 

 

BRANCH NAME:

 

 

 

 

 

PETITION OF (Name of each petitioner):

 

 

 

 

APPLICATION TO FILE DOCUMENTS UNDER SEAL

CASE NUMBER:

IN NAME CHANGE PROCEEDING UNDER

 

ADDRESS CONFIDENTIALITY PROGRAM (SAFE AT HOME)

 

 

 

 

 

 

 

Before you complete this petition, you should read the Information Sheet for Name Change Proceedings Under Address Confidentiality Program (Safe at Home) (form NC-400-INFO). You must file a Declaration in Support of Application to File Documents Under Seal in Name Change Proceeding Under Address Confidentiality Program (Safe at Home) (form NC-420) with this application. You must file this application and the petition in the superior court of the county where the person whose name is to be changed resides.

1. Petitioner (name):is a participant in the Secretary of State's address confidentiality program under Government Code sections 6205–6211 and is alleging one of the following as a reason for the name change: (1) seeking to avoid domestic violence, (2) seeking to avoid stalking, or (3) is, or is filing on behalf of, a victim of sexual assault.

2. Petitioner requests that the court file the following documents under seal:

a.

b.

c.

d.

e.

f.

g.

h.

i.

Petition for Change of Name (form NC-100)

Attachment to Petition for Change of Name (form NC-110)

Order to Show Cause for Change of Name (form NC-120)

Decree Changing Name (form NC-130)

Civil Case Cover Sheet (form CM-010)

Application to File Documents Under Seal in Name Change Proceeding Under Address Confidentiality Program (Safe at Home) (form NC-410)

Declaration in Support of Application to File Documents Under Seal in Name Change Proceeding Under Address Confidentiality Program (Safe at Home) (form NC-420)

Order on Application to File Documents Under Seal in Name Change Proceeding Under Address Confidentiality Program (Safe at Home) (form NC-425)

Other (specify):

3.The facts that support this petition to file the documents checked above under seal are stated in the Declaration in Support of Application to File Documents Under Seal In Name Change Proceeding Under Address Confidentiality Program (Safe at Home) (form NC-420).

4.Petitioner has completed each of the documents checked above, placed them in a sealed envelope, and is lodging the envelope with the court along with this application.

Date:

(TYPE OR PRINT NAME)

(SIGNATURE OF ATTORNEY OR PETITIONER WITHOUT ATTORNEY)

 

 

 

Page 1 of 1

Form Adopted for Mandatory Use

APPLICATION TO FILE DOCUMENTS UNDER SEAL

Code of Civil Procedure, § 1277;

Judicial Council of California

California Rules of Court, rule 2.577

 

IN NAME CHANGE PROCEEDING UNDER

NC-410 [New January 1, 2010]

 

www.courtinfo.ca.gov

ADDRESS CONFIDENTIALITY PROGRAM (SAFE AT HOME)

File Specifics

Fact Name Details
Purpose The NC-410 form is used to request that certain documents be filed under seal in name change proceedings under the Address Confidentiality Program (Safe at Home) in California.
Governing Laws This form is governed by California Government Code sections 6205–6211, as well as Code of Civil Procedure section 1277 and California Rules of Court, rule 2.577.
Eligibility Petitioners must be participants in the Secretary of State's Address Confidentiality Program and may be seeking to avoid domestic violence, stalking, or may be a victim of sexual assault.
Required Documents Along with the NC-410 form, petitioners must file a Declaration in Support of Application to File Documents Under Seal (form NC-420) and other related documents.
Filing Location The application must be filed in the superior court of the county where the person whose name is to be changed resides.
Confidentiality Documents requested to be filed under seal include the Petition for Change of Name and related forms, ensuring sensitive information is protected.

How to Use California Nc 410

Filling out the California NC-410 form is an important step in the name change process for individuals participating in the Address Confidentiality Program. This form allows you to request that certain documents be kept confidential for your safety. Following the steps carefully will help ensure that your application is completed correctly and submitted in a timely manner.

  1. Provide your contact information: At the top of the form, fill in your name, State Bar number (if applicable), address, telephone number, fax number (optional), and email address (optional).
  2. Identify your attorney (if applicable): If you are represented by an attorney, include their name and contact information in the designated section.
  3. Fill in court details: Write the name of the Superior Court, along with the street address, mailing address, city, and ZIP code where you will be filing the application.
  4. List the petitioners: In the section for “Petition of,” include the names of each petitioner involved in the name change.
  5. State your participation: Indicate that you are a participant in the Secretary of State's Address Confidentiality Program and select one of the reasons for your name change: to avoid domestic violence, to avoid stalking, or as a victim of sexual assault.
  6. Request documents to be filed under seal: Specify the documents you wish to file under seal by checking the appropriate boxes, including the Petition for Change of Name and any additional forms you are submitting.
  7. Provide supporting facts: Mention that the facts supporting your request are included in the Declaration in Support of Application to File Documents Under Seal.
  8. Prepare the documents: Confirm that you have completed the required documents, placed them in a sealed envelope, and are lodging the envelope with the court along with the NC-410 application.
  9. Sign and date the form: Finally, type or print your name and sign the form, indicating the date of submission.

After completing these steps, you will be ready to submit the form along with your other documents to the appropriate court. It is advisable to keep copies of everything for your records. This careful preparation will help ensure that your application is processed smoothly and efficiently.

Your Questions, Answered

What is the purpose of the California NC-410 form?

The California NC-410 form is used to request that certain documents related to a name change be filed under seal. This is particularly important for individuals participating in the Address Confidentiality Program (Safe at Home), who may be seeking to protect their personal information due to concerns such as domestic violence, stalking, or sexual assault.

Who can use the NC-410 form?

The form is intended for petitioners who are participants in the Secretary of State's Address Confidentiality Program. These individuals must be seeking a name change for reasons that include avoiding domestic violence, stalking, or being a victim of sexual assault.

What documents can be filed under seal using the NC-410 form?

Petitioners can request that the following documents be filed under seal:

  • Petition for Change of Name (form NC-100)
  • Attachment to Petition for Change of Name (form NC-110)
  • Order to Show Cause for Change of Name (form NC-120)
  • Decree Changing Name (form NC-130)
  • Civil Case Cover Sheet (form CM-010)
  • Application to File Documents Under Seal (form NC-410)
  • Declaration in Support of Application to File Documents Under Seal (form NC-420)
  • Order on Application to File Documents Under Seal (form NC-425)
  • Any other relevant documents as specified by the petitioner

What must accompany the NC-410 form when it is submitted?

When submitting the NC-410 form, petitioners must also include a completed Declaration in Support of Application to File Documents Under Seal (form NC-420). This declaration outlines the facts that support the request to file documents under seal.

Where should the NC-410 form be filed?

The NC-410 form, along with the accompanying documents, must be filed in the superior court of the county where the petitioner resides. It is essential to ensure that all documents are properly completed and placed in a sealed envelope before lodging them with the court.

Is there a specific reason to file documents under seal?

Filing documents under seal is crucial for protecting sensitive personal information from public disclosure. This is especially important for individuals in situations involving domestic violence or other safety concerns. Keeping this information confidential helps ensure the safety and privacy of the petitioner.

What is the role of the court in this process?

The court reviews the NC-410 application and the supporting declaration to determine whether the request to file documents under seal is justified. If the court finds sufficient grounds, it will grant the application, allowing the documents to remain confidential.

What should I do if I have more questions about the NC-410 form?

If you have additional questions or need assistance, consider consulting an attorney or reaching out to the court clerk's office. They can provide guidance specific to your situation and help ensure that you follow the correct procedures.

Common mistakes

  1. Neglecting to read the information sheet: Before filling out the NC-410 form, individuals often skip the Information Sheet for Name Change Proceedings Under Address Confidentiality Program (Safe at Home). This document provides crucial guidance and understanding of the requirements.

  2. Incorrectly identifying the petitioner: It is essential to clearly state the name of the petitioner. Many make the mistake of omitting this information or providing incorrect details, which can lead to delays or rejections.

  3. Failing to include necessary supporting documents: Applicants frequently overlook the requirement to file a Declaration in Support of Application to File Documents Under Seal (form NC-420). This declaration is critical for substantiating the request.

  4. Not checking the appropriate boxes: The form includes several documents that can be filed under seal. Some individuals forget to check all applicable boxes, resulting in incomplete applications.

  5. Improperly sealing documents: Petitioner must ensure that all documents are placed in a sealed envelope. Failing to do so, or improperly sealing the envelope, can lead to complications during processing.

  6. Neglecting to sign the form: A common oversight is forgetting to sign the application. Without a signature, the court may reject the submission, requiring the petitioner to start the process over.

Documents used along the form

The California NC-410 form is an essential document in the name change process under the Address Confidentiality Program (Safe at Home). Alongside this form, several other documents are commonly required to ensure a smooth and effective application. Below are four key forms that are often used in conjunction with the NC-410.

  • Petition for Change of Name (form NC-100): This form initiates the name change request. It outlines the petitioner's current name, the desired new name, and the reasons for the change. Filing this form is crucial for starting the legal process.
  • Declaration in Support of Application to File Documents Under Seal (form NC-420): This declaration supports the request to keep certain documents confidential. It provides the necessary facts and justifications for sealing the documents, ensuring that sensitive information remains protected.
  • Order on Application to File Documents Under Seal (form NC-425): This order is issued by the court after reviewing the application to file documents under seal. It formally grants or denies the request, thus determining whether the documents will be kept confidential.
  • Civil Case Cover Sheet (form CM-010): This form provides the court with basic information about the case, including the type of case and the parties involved. It helps in the administrative processing of the case within the court system.

These forms work together to facilitate the name change process while ensuring the protection of sensitive information. Properly completing and filing these documents is essential for a successful outcome in name change proceedings under the Address Confidentiality Program.

Similar forms

The Petition for Change of Name (form NC-100) is a foundational document in name change proceedings. It formally requests the court to approve a change of name for an individual. This document outlines the petitioner's current name, the desired new name, and the reasons for the change. Similar to the NC-410 form, the NC-100 is essential for individuals participating in the Address Confidentiality Program, as it must be filed with the court to initiate the name change process.

The Order to Show Cause for Change of Name (form NC-120) serves as a notice to the public and interested parties about the petition for a name change. It specifies the date and time when the court will hear the petition. Like the NC-410, this document is vital for individuals seeking confidentiality, as it helps ensure that the proceedings are handled discreetly while still allowing for public notice of the request.

The Decree Changing Name (form NC-130) is the official court order that grants the name change. Once approved, this document serves as legal proof of the new name. This decree is similar to the NC-410 in that both documents are part of the same legal process and are used to protect the privacy of individuals involved in sensitive situations, such as victims of domestic violence or stalking.

The Declaration in Support of Application to File Documents Under Seal in Name Change Proceeding Under Address Confidentiality Program (form NC-420) is a critical supporting document. It provides the court with the facts and reasons justifying the request to keep certain documents confidential. This declaration is closely related to the NC-410, as both forms aim to ensure that the petitioner's personal information remains protected during the legal process.

The Application to File Documents Under Seal in Name Change Proceeding Under Address Confidentiality Program (Safe at Home) (form NC-410) itself is a unique document that requests the court to seal specific records related to the name change. This form is essential for protecting sensitive information and is specifically designed for participants in the Address Confidentiality Program. It shares similarities with other forms in that it seeks to maintain privacy while navigating the legal system.

The Order on Application to File Documents Under Seal in Name Change Proceeding Under Address Confidentiality Program (Safe at Home) (form NC-425) is the court's response to the NC-410 application. It either grants or denies the request to seal documents. This order is important because it directly impacts the confidentiality of the proceedings, much like the NC-410, ensuring that the petitioner's safety and privacy are prioritized throughout the name change process.

Dos and Don'ts

When filling out the California NC-410 form, it's essential to follow specific guidelines to ensure your application is processed smoothly. Here’s a list of things you should and shouldn’t do:

  • Do read the Information Sheet for Name Change Proceedings Under Address Confidentiality Program (Safe at Home) before starting.
  • Do ensure that you are a participant in the Secretary of State's address confidentiality program.
  • Do complete all required documents and include them in a sealed envelope when submitting your application.
  • Do provide accurate and truthful information regarding your reason for the name change.
  • Don't forget to file the Declaration in Support of Application to File Documents Under Seal (form NC-420) with your application.
  • Don't submit the application without checking that all necessary signatures are included.

By adhering to these guidelines, you can help ensure that your application is complete and meets the court's requirements.

Misconceptions

Understanding the California NC-410 form can be challenging. Here are ten common misconceptions about this form, clarified for your benefit.

  1. The NC-410 form is only for victims of domestic violence. This form is applicable not only to those seeking to avoid domestic violence but also to individuals avoiding stalking and victims of sexual assault.
  2. You do not need to file any other forms with the NC-410. In fact, you must also file the Declaration in Support of Application to File Documents Under Seal (form NC-420) along with your application.
  3. The NC-410 form can be filed anywhere in California. It must be filed in the superior court of the county where the person whose name is being changed resides.
  4. All documents submitted with the NC-410 are automatically sealed. Only the documents specifically requested to be sealed will be protected; you must indicate which documents you want sealed in your application.
  5. The NC-410 form is not confidential. The NC-410 form is designed to be confidential, protecting the identities of petitioners and the reasons for their name change.
  6. Filing the NC-410 guarantees a name change. While this form is a crucial step, the court must still approve the name change based on the merits of the case.
  7. There is no need for a lawyer to complete the NC-410. While you can represent yourself, having an attorney can help ensure that all forms are completed correctly and that your rights are protected.
  8. The NC-410 form is the only requirement for the Address Confidentiality Program. You must also be a participant in the Secretary of State's Address Confidentiality Program to use this form.
  9. You can submit the NC-410 form electronically. Currently, the form must be filed in person or by mail; electronic submission may not be available.
  10. Once filed, the process is quick and easy. The process can take time, as the court must review and approve your application and any supporting documents.

It is important to have accurate information when navigating legal processes. Understanding these misconceptions can help ensure a smoother experience with the California NC-410 form.

Key takeaways

Filling out the California NC-410 form is a crucial step for individuals seeking to change their name under the Address Confidentiality Program (Safe at Home). Here are some key takeaways to keep in mind:

  • Understand the Purpose: The NC-410 form is used to apply for the court to file certain documents under seal, protecting sensitive information.
  • Eligibility: Only individuals participating in the Secretary of State's Address Confidentiality Program can use this form.
  • Reasons for Name Change: Valid reasons for requesting a name change include avoiding domestic violence, stalking, or representing a victim of sexual assault.
  • Required Documents: Along with the NC-410, you must submit a Declaration in Support of Application to File Documents Under Seal (form NC-420).
  • Filing Location: The application and petition must be filed in the superior court of the county where the person whose name is being changed resides.
  • Sealed Documents: Clearly list the documents you wish to file under seal, such as the Petition for Change of Name and other related forms.
  • Envelope Submission: Complete the necessary documents, place them in a sealed envelope, and lodge it with the court along with your application.
  • Signature Requirement: Ensure that the form is signed by the petitioner or their attorney to validate the application.
  • Read the Information Sheet: Before completing the form, review the Information Sheet for Name Change Proceedings Under Address Confidentiality Program (form NC-400-INFO) for guidance.

Following these steps can help ensure a smoother process in your name change application while maintaining confidentiality and safety.