Blank Arizona Estate PDF Form

Blank Arizona Estate PDF Form

The Arizona Estate form is a legal document used to transfer property after someone has passed away. It allows individuals to claim assets from the deceased's estate under certain conditions, such as when the total value of personal property does not exceed $50,000. If you meet the requirements, take action now by filling out the form below.

The Arizona Estate form, specifically the Small Estate Affidavit, provides a streamlined process for transferring property after someone has passed away. This form is particularly useful when the total value of the deceased’s personal property, which includes items like cash, bank accounts, and vehicles, is under $50,000, or if the assessed value of their real property in Arizona is below $75,000. To utilize this form, certain conditions must be met: at least 30 days should have passed since the person's death, and the claimant must have a legal right to the property. This right can stem from being named in a will or from familial relationships, such as being a surviving spouse, child, parent, or sibling. Additionally, if there are other potential claimants, they must have assigned their interests in the estate to the claimant, which should be documented. The form includes various sections, such as an affidavit for the collection of personal property and a cover sheet for probate, ensuring that all necessary information is provided in an organized manner. The process is designed to be accessible, allowing individuals to handle their claims without the immediate need for legal representation, although consulting a lawyer is recommended to avoid complications.

Document Sample

File Specifics

Fact Name Description
Purpose The Small Estate Affidavit allows individuals to transfer property of a deceased person without going through probate, simplifying the process for small estates.
Eligibility To use this affidavit, the total value of personal property must not exceed $50,000, and at least 30 days must have passed since the person's death.
Real Property Limit If real property is involved, its assessed value must not exceed $75,000, and at least 6 months must have passed since the death.
Surviving Spouse A surviving spouse can collect up to $5,000 in wages owed to the deceased without needing to go through the full probate process.
Legal Standing Individuals must have legal standing to claim property, either through a will or by being a close relative of the deceased, such as a child or sibling.

How to Use Arizona Estate

Filling out the Arizona Estate form is an important step in transferring property after someone has passed away. It is essential to ensure that all information is accurate and complete to avoid any complications. Below are the steps to guide you through the process of filling out the Small Estate Affidavit.

  1. Gather Required Information: Collect all necessary information about the deceased, including their name, date of death, and place of death.
  2. Confirm Eligibility: Ensure that you meet the eligibility criteria, such as the value of the estate not exceeding $50,000 in personal property or $75,000 in real property, and that at least 30 days have passed since the death.
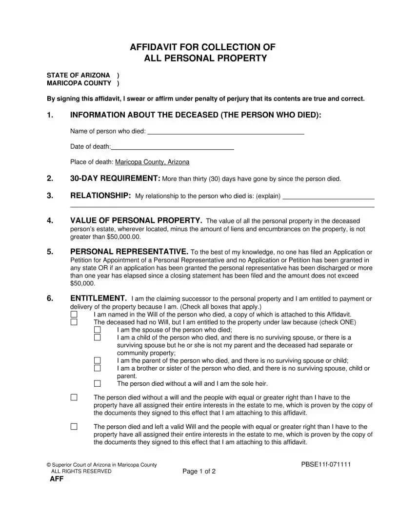
  3. Complete the Affidavit: Fill out the “Affidavit for Collection of All Personal Property” form. Include details about your relationship to the deceased and confirm that no personal representative has been appointed.
  4. Indicate Entitlement: Check the appropriate boxes to indicate your entitlement to the property. Attach any supporting documents, such as a copy of the will or assignment of interest from other heirs.
  5. Sign the Affidavit: Sign the affidavit, affirming that the information provided is true and correct. This is an important legal declaration.
  6. Prepare Additional Documents: If transferring real property, complete the “Probate Cover Sheet” and the “Affidavit for Transfer of Title to Real Property” forms as needed.
  7. File the Forms: Submit the completed forms to the appropriate court. Ensure you keep copies for your records.

After completing the form and submitting it, you may need to follow up with the court for any additional steps or requirements. It’s always a good idea to verify that you have the most current documents and consider consulting with a legal professional if you have any questions or concerns.

Your Questions, Answered

What is the Arizona Small Estate Affidavit?

The Arizona Small Estate Affidavit is a legal document that allows individuals to transfer property from a deceased person's estate without going through the formal probate process. This form is applicable when the total value of the personal property does not exceed $50,000, or when the assessed value of real property is less than $75,000, among other conditions. The affidavit can be used by eligible individuals to claim assets after a specified period has passed since the person's death.

Who is eligible to use the Small Estate Affidavit?

Eligibility to use the Small Estate Affidavit is determined by several factors:

  • The total value of the deceased's personal property must be less than $50,000.
  • At least 30 days must have passed since the death of the individual.
  • If claiming real property, its assessed value must be less than $75,000, and six months must have passed since the death.
  • The claimant must be a surviving spouse, child, parent, or sibling of the deceased, or someone named in the deceased's will.
  • If there are others with equal or greater rights to the property, they must have assigned their interests to the claimant.

What documents are included in the Small Estate Affidavit packet?

The Small Estate Affidavit packet contains several important documents, including:

  1. Table of contents
  2. Checklist for eligibility
  3. Affidavit for Collection of All Personal Property
  4. Probate Cover Sheet (if transferring real property)
  5. Affidavit for Transfer of Title to Real Property
  6. Procedures for what to do after completing the affidavits

These documents must be completed and filed with the appropriate court to initiate the transfer of property.

What are the key requirements for filing the Small Estate Affidavit?

Filing the Small Estate Affidavit requires meeting specific criteria:

  • The total value of personal property must not exceed $50,000.
  • At least 30 days must have elapsed since the date of death.
  • If claiming real property, the assessed value must not exceed $75,000, and six months must have passed since the death.
  • The claimant must have legal standing, either through a will or by being a close relative.

Additionally, if there are others with equal rights, they must provide documentation assigning their interests to the claimant.

While it is possible to file the Small Estate Affidavit without legal assistance, consulting a lawyer is highly recommended. A lawyer can provide guidance on the process, help ensure that all forms are completed correctly, and address any potential issues that may arise. The Superior Court of Arizona offers resources to find legal assistance, including lists of lawyers and mediators on their Self-Service Center website.

Common mistakes

  1. Not verifying eligibility: Many individuals fail to confirm whether they meet the eligibility requirements for using the Small Estate Affidavit. Ensure that the total value of the estate does not exceed the specified limits.

  2. Missing deadlines: Some people overlook important timeframes. For instance, at least 30 days must pass after the death before filing the affidavit.

  3. Incorrect property valuation: Accurately assessing the value of personal property is crucial. Failing to do so may lead to complications or denial of the affidavit.

  4. Incomplete information: Providing incomplete or incorrect information about the deceased can result in delays. Always double-check names, dates, and relationships.

  5. Not attaching required documents: Some individuals forget to include necessary documents, such as a copy of the will or proof of relationship. These attachments are often essential for validation.

  6. Ignoring the personal representative requirement: If a personal representative has been appointed, the affidavit cannot be used. Confirm that no application for appointment has been filed.

  7. Assuming legal standing: Just because you believe you are entitled to the property does not mean you have legal standing. Verify your rights before proceeding.

  8. Failing to consult a lawyer: Many people skip legal advice, thinking they can handle everything themselves. Consulting a lawyer can help clarify complex situations and prevent mistakes.

  9. Not keeping up with changes: Laws and forms can change. Failing to use the most current documents may lead to issues. Always check for updates before filing.

Documents used along the form

When dealing with the Arizona Estate form, several other documents may be necessary to ensure a smooth transfer of property after someone's passing. Each of these documents serves a specific purpose in the estate settlement process.

  • Affidavit for Collection of All Personal Property: This document allows a person to claim all personal property belonging to the deceased, provided the total value does not exceed $50,000 and more than 30 days have passed since the death. It establishes the claimant's relationship to the deceased and their entitlement to the property.
  • Probate Cover Sheet: Required only if real property is being transferred, this form provides essential information to the court about the estate and the parties involved. It streamlines the process by summarizing key details.
  • Affidavit for Transfer of Title to Real Property: This affidavit is used to transfer ownership of real estate from the deceased to the rightful heir. It confirms that the claimant has the legal right to the property and that all necessary conditions have been met.
  • Procedures: What to Do After Completing the Affidavit(s): This document outlines the steps that must be taken after completing the affidavits. It ensures that all necessary actions are taken to finalize the transfer of property and comply with legal requirements.

Understanding these documents can help facilitate the estate transfer process, ensuring that the rights of the deceased's heirs are respected and upheld. Always consider consulting a legal professional for guidance tailored to your specific situation.

Similar forms

The Small Estate Affidavit in Arizona is similar to the Affidavit of Heirship. Both documents serve to establish the rightful heirs of a deceased person's estate. The Affidavit of Heirship is often used when there is no will, allowing heirs to claim property without going through probate. Like the Small Estate Affidavit, it simplifies the process of transferring property to heirs, making it easier for families to settle estates without extensive legal proceedings.

Another document that shares similarities is the Will. A Will outlines how a person's assets should be distributed after their death. While the Small Estate Affidavit can be used when a person dies with or without a will, the Will provides a clear directive from the deceased. Both documents aim to facilitate the transfer of assets, but a Will requires probate, while the Small Estate Affidavit can expedite the process for smaller estates.

The Arizona Affidavit for Collection of Personal Property is also akin to the Small Estate Affidavit. This document allows individuals to collect personal property from the estate of a deceased person without going through probate. Both affidavits require the individual to affirm their relationship to the deceased and the value of the estate, simplifying the process of claiming assets.

Similarly, the Petition for Probate is another related document. This petition is filed when a person seeks to open a probate case for a larger estate. While the Small Estate Affidavit is used for estates under certain value thresholds, the Petition for Probate is necessary for estates that exceed those limits. Both documents aim to transfer assets, but they cater to different estate sizes and complexities.

The Affidavit for Transfer of Title to Real Property is also comparable. This document specifically deals with the transfer of real estate after a person's death. Like the Small Estate Affidavit, it allows for the transfer of property without full probate proceedings, but it is focused solely on real property rather than personal assets.

Another similar document is the Small Estate Petition. This petition is used to request the court's approval to distribute a small estate. While the Small Estate Affidavit allows heirs to claim property directly, the Small Estate Petition requires court involvement. Both documents aim to simplify the estate settlement process, but the petition involves judicial oversight.

The Affidavit of Death is also relevant. This document confirms the death of an individual and may be used in conjunction with the Small Estate Affidavit. It serves as proof of death when transferring assets and helps establish the legal basis for the claims made in the Small Estate Affidavit.

Additionally, the Release of Claim is a related document. This form is often used when multiple heirs agree to relinquish their claims to an estate. Similar to the Small Estate Affidavit, it helps clarify ownership and can expedite the transfer of property. Both documents are essential in ensuring a smooth transition of assets among heirs.

Finally, the Affidavit of Survivorship is comparable as well. This document is used when a joint tenant passes away, allowing the surviving tenant to claim full ownership of the property. Like the Small Estate Affidavit, it simplifies the process of transferring property, ensuring that ownership is clear and legally recognized without extensive legal proceedings.

Dos and Don'ts

When filling out the Arizona Estate form, consider the following dos and don'ts:

  • Do ensure that you meet the eligibility criteria for using the Small Estate Affidavit.
  • Do provide accurate information about the deceased, including their name, date, and place of death.
  • Do attach any necessary documents, such as a copy of the will or assignment of interests.
  • Do consult a lawyer if you have questions or concerns about the process.
  • Don't submit the affidavit if you do not meet the 30-day requirement after the death.
  • Don't provide false information or omit important details in the affidavit.
  • Don't forget to check for the most current version of the forms before filing.
  • Don't assume you are entitled to the property without confirming your legal standing.

Misconceptions

Understanding the Arizona Estate form can be challenging, and several misconceptions often arise. Here are four common misunderstandings:

  • Misconception 1: You can use the Small Estate Affidavit for any amount of property.
  • Many believe that the Small Estate Affidavit applies to any estate, regardless of its value. In reality, this form is only applicable if the total value of personal property does not exceed $50,000 and real property does not exceed $75,000. If the estate exceeds these limits, a different legal process is required.

  • Misconception 2: You must be the spouse of the deceased to file.
  • Some think that only a surviving spouse can use the Small Estate Affidavit. However, other relatives, such as children, parents, or siblings, may also file if they meet specific criteria and have legal standing to claim the property.

  • Misconception 3: You can file immediately after the person's death.
  • There is a common belief that filing can occur right after a death. In fact, the law requires that at least 30 days must pass before submitting the affidavit for personal property and at least 6 months for real property. This waiting period is crucial.

  • Misconception 4: You do not need any documentation to support your claim.
  • Some people think they can file the affidavit without any proof. This is incorrect. It is essential to provide supporting documents, such as a will or proof of relationship, to establish your legal right to the property. Without these documents, the affidavit may be rejected.

Key takeaways

Filling out the Arizona Estate form can seem daunting, but understanding the key points can simplify the process significantly. Here are some essential takeaways to keep in mind:

  • Eligibility Criteria: You can use the Small Estate Affidavit if the total personal property value is under $50,000 and at least 30 days have passed since the person's death.
  • Real Property Limits: If you're dealing with real property, the assessed value must not exceed $75,000, and at least 6 months must have passed since the death.
  • Surviving Spouse Rights: As a surviving spouse, you may collect up to $5,000 in wages owed to the deceased.
  • Legal Standing: Ensure you have the legal right to claim the property, whether through a will or as a relative, such as a child or sibling.
  • Documentation Required: Attach any necessary documents that prove your relationship to the deceased or your entitlement to the property.
  • Consultation Recommended: Consider speaking with a lawyer before submitting your affidavit to avoid complications.
  • Order of Documents: Follow the prescribed order of documents when filing your affidavit to ensure completeness.
  • Affidavit Signing: Sign the affidavit under penalty of perjury, affirming that the information provided is accurate.
  • Current Forms: Regularly verify that you are using the most current version of the forms, as they are subject to revision.
  • Responsibility Disclaimer: Be aware that the court does not assume liability for actions taken based on the use of these forms.

Taking the time to understand these points can make the process smoother and help ensure that your claim is valid. Don't hesitate to seek assistance if you need it—this is an important step in managing your loved one's estate.