Blank Arizona 74 PDF Form

Blank Arizona 74 PDF Form

The Arizona 74 form, officially known as the Report of Personal Representative of Decedent, is a crucial document required by the Arizona Department of Revenue for reporting the estate of a deceased individual. This form must be completed and submitted to ensure compliance with state tax regulations and to facilitate the processing of estate taxes. For those responsible for managing a decedent's estate, filling out this form accurately is essential; click the button below to begin the process.

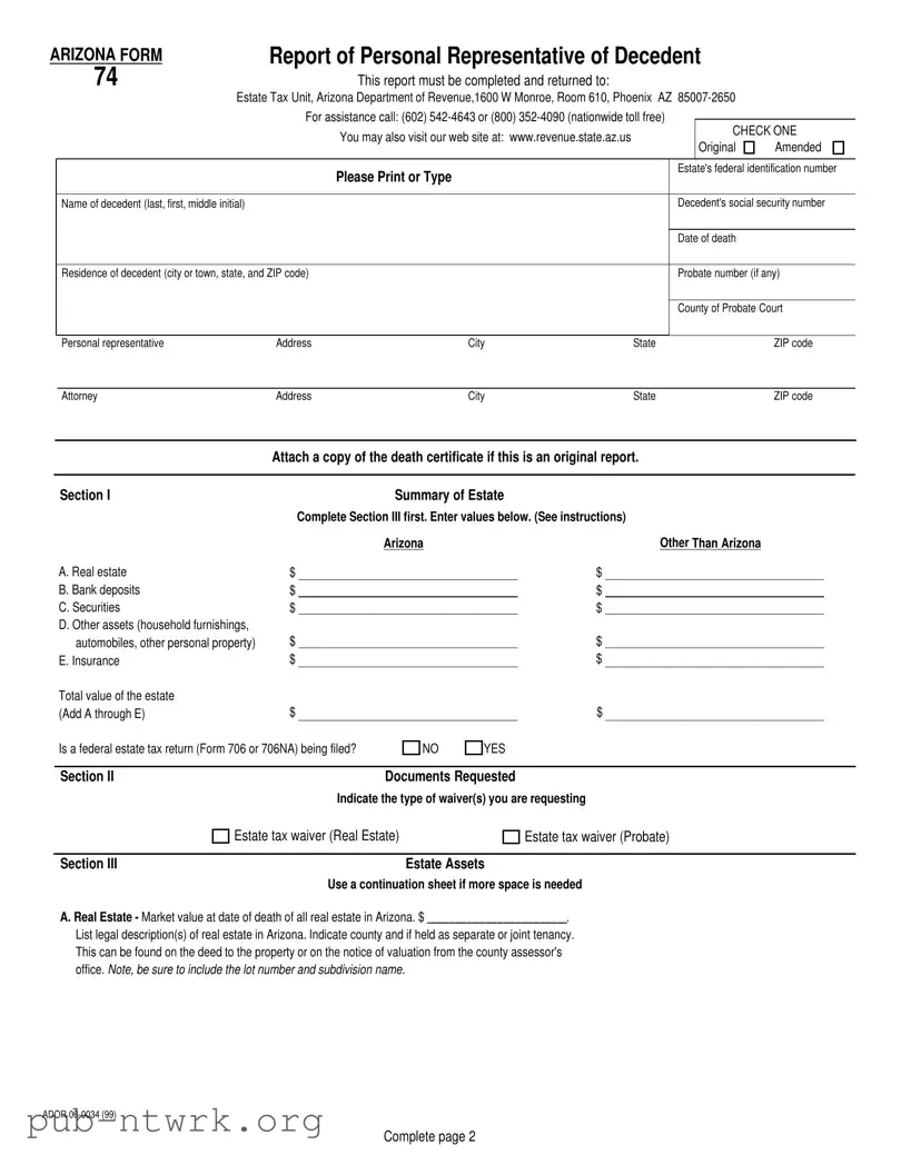
The Arizona Form 74, formally known as the Report of Personal Representative of Decedent, serves a critical role in the administration of estates following a person's death. This form must be completed and submitted to the Estate Tax Unit of the Arizona Department of Revenue, ensuring that the state is informed about the decedent's estate and its value. When filling out the form, the personal representative must provide essential details such as the decedent's name, social security number, date of death, and the probate number, if applicable. The form requires a comprehensive summary of the estate, including the values of real estate, bank deposits, securities, and other assets, all of which must be clearly delineated. Additionally, it asks whether a federal estate tax return is being filed and allows the representative to request specific waivers related to estate taxes. Accompanying documents, such as the death certificate, are necessary for original reports, emphasizing the importance of accuracy and completeness. The meticulous nature of this form reflects the legal obligations of personal representatives in managing the decedent's affairs, ensuring that all financial responsibilities are addressed in accordance with Arizona law.

Document Sample

ARIZONA FORM

Report of Personal Representative of Decedent

 

 

74

 

 

This report must be completed and returned to:

 

 

 

 

 

 

Estate Tax Unit, Arizona Department of Revenue,1600 W Monroe, Room 610, Phoenix AZ 85007-2650

 

 

 

 

 

For assistance call: (602) 542-4643 or (800) 352-4090 (nationwide toll free)

 

 

 

 

 

 

 

You may also visit our web site at: www.revenue.state.az.us

 

 

CHECK ONE

 

 

 

 

 

 

Original

Amended

 

 

 

 

 

 

 

 

 

 

 

 

 

 

 

 

 

 

 

 

 

 

 

 

Please Print or Type

 

 

 

Estate's federal identification number

 

 

 

 

 

 

 

 

 

 

 

 

 

 

 

 

 

 

 

 

 

 

 

Name of decedent (last, first, middle initial)

 

 

 

 

 

 

Decedent's social security number

 

 

 

 

 

 

 

 

 

 

 

 

 

 

 

 

 

 

 

 

Date of death

 

 

 

 

 

 

 

 

 

 

 

 

 

Residence of decedent (city or town, state, and ZIP code)

 

 

 

 

Probate number (if any)

 

 

 

 

 

 

 

 

 

 

 

 

 

 

 

 

 

 

 

County of Probate Court

 

 

 

 

 

 

 

 

 

 

 

 

 

Personal representative

Address

City

 

State

 

 

 

ZIP code

 

 

 

 

 

 

 

 

 

 

 

 

 

Attorney

Address

City

 

State

 

 

 

ZIP code

 

 

 

 

 

 

 

 

 

 

 

 

Attach a copy of the death certificate if this is an original report.

 

 

 

 

 

 

 

 

 

 

 

 

 

 

 

 

 

 

Section I

 

 

Summary of Estate

 

 

 

 

 

 

 

 

 

Complete Section III first. Enter values below. (See instructions)

 

 

 

 

 

 

 

 

 

Arizona

 

 

Other Than Arizona

 

 

 

A. Real estate

$

 

 

$

 

 

 

 

 

 

 

B. Bank deposits

$

 

 

$

 

 

 

 

 

 

 

C. Securities

$

 

 

$

 

 

 

 

 

 

 

D. Other assets (household furnishings,

 

 

 

 

 

 

 

 

 

 

 

automobiles, other personal property)

$

 

 

$

 

 

 

 

 

 

 

E. Insurance

$

 

 

$

 

 

 

 

 

 

 

Total value of the estate

 

 

 

 

 

 

 

 

 

 

 

(Add A through E)

$

 

 

$

 

 

 

 

 

 

Is a federal estate tax return (Form 706 or 706NA) being filed?

NO

YES

Section II

Documents Requested

Indicate the type of waiver(s) you are requesting

Estate tax waiver (Real Estate)

Estate tax waiver (Probate)

Section III

Estate Assets

 

Use a continuation sheet if more space is needed

A. Real Estate - Market value at date of death of all real estate in Arizona. $ _______________________.

List legal description(s) of real estate in Arizona. Indicate county and if held as separate or joint tenancy. This can be found on the deed to the property or on the notice of valuation from the county assessor's

office. NOTE, BE SURE TO INCLUDE THE LOT NUMBER AND SUBDIVISION NAME.

ADOR 06-0034 (99)

Complete page 2

Form 74 Page 2

B. Bank Deposits - List accounts in financial institutions.

Name of bank or other institution

Type of account

Balance at date of death

 

 

 

Total Value

$ __________________

 

 

 

 

C. Securities - List all stocks, bonds, and other securities that were owned by the decedent.

 

 

Name of company

Number of shares

Value at date of death

Total Value

$ __________________

D. Other Assets - List other assets (household furnishings, motor vehicles, and other personal property).

Total Value

$ __________________

E. Insurance - Insurance on decedent's life (owned by the decedent).

Total Value $ __________________

Under penalty of perjury, I declare that I have examined this report, including any accompanying schedules and statements, and to the best of my knowledge and belief, it is true, correct, and complete.

Personal Representative / Surviving Joint Tenant / Attorney

Name (typed or printed)

 

Social security number or federal employer identification number

 

 

 

Address

 

 

 

 

 

City

State

ZIP code

 

 

 

Signature of representative

Date

Phone number

ADOR 06-0034 (99)

File Specifics

Fact Name Description
Form Purpose The Arizona 74 form is used to report the estate of a deceased individual.
Submission Address It must be sent to the Estate Tax Unit at the Arizona Department of Revenue in Phoenix.
Contact Information For assistance, call (602) 542-4643 or (800) 352-4090 toll-free nationwide.
Filing Options You can check either "Original" or "Amended" when submitting the form.
Estate Identification Provide the estate's federal identification number and the decedent's details.
Value Reporting Section I requires a summary of the estate's total value, including real estate and other assets.
Federal Estate Tax Indicate if a federal estate tax return (Form 706 or 706NA) is being filed.
Waivers Requested Section II allows you to request estate tax waivers for real estate or probate.
Legal Requirement This form is governed by Arizona state law concerning estate taxes.
Certification The personal representative must sign and certify the report's accuracy under penalty of perjury.

How to Use Arizona 74

Filling out the Arizona 74 form is an essential step in managing the estate of a decedent. This form provides a detailed report that must be submitted to the Arizona Department of Revenue. After completing the form, it should be sent to the designated address, ensuring all required information is accurately provided.

  1. Check the appropriate box: Indicate whether this is an original or amended report.
  2. Enter the estate's federal identification number: This number is crucial for tax purposes.
  3. Fill in the decedent's information: Include the name (last, first, middle initial), social security number, date of death, residence (city, state, ZIP code), probate number (if applicable), and county of probate court.
  4. Provide personal representative details: Include the name, address, city, state, and ZIP code of the personal representative.
  5. Enter attorney details: If applicable, provide the attorney's name, address, city, state, and ZIP code.
  6. Attach a copy of the death certificate: This is necessary if this report is original.
  7. Complete Section I: Summarize the estate's value by entering amounts for real estate, bank deposits, securities, other assets, and insurance, both for Arizona and outside Arizona. Calculate the total value of the estate.
  8. Indicate if a federal estate tax return is being filed: Check "NO" or "YES."
  9. Complete Section II: Indicate the type of estate tax waivers being requested.
  10. Fill out Section III: List detailed information regarding real estate, bank deposits, securities, other assets, and insurance. Use a continuation sheet if more space is needed.
  11. Sign the report: The personal representative, surviving joint tenant, or attorney must sign and date the report. Include the printed name and social security number or federal employer identification number, along with the address, city, state, and ZIP code.

Once the form is completed, it should be mailed to the Estate Tax Unit at the Arizona Department of Revenue. Ensure that all information is accurate and complete to avoid any delays in processing.

Your Questions, Answered

What is the Arizona 74 form?

The Arizona 74 form, also known as the Report of Personal Representative of Decedent, is a document required by the Arizona Department of Revenue. It is used to report the assets of a decedent's estate and must be completed by the personal representative or attorney handling the estate. This form is essential for tax purposes and ensures that the estate is properly accounted for following the decedent's passing.

Who needs to file the Arizona 74 form?

The personal representative of the estate is responsible for filing the Arizona 74 form. This could be an individual named in the will or appointed by the probate court. If there is no will, the court may appoint someone to take on this role. It is crucial for the personal representative to gather all necessary information about the decedent's assets and liabilities to complete the form accurately.

What information is required on the Arizona 74 form?

The Arizona 74 form requires several key pieces of information, including:

  • The decedent's name, social security number, and date of death.
  • The estate's federal identification number.
  • The total value of the estate, broken down into categories such as real estate, bank deposits, securities, other assets, and insurance.
  • The name and address of the personal representative and attorney, if applicable.

Additionally, if this is an original report, a copy of the death certificate must be attached.

When is the Arizona 74 form due?

The Arizona 74 form should be filed as soon as possible after the decedent's death. While there is no specific deadline for submitting this form, it is advisable to complete it promptly to avoid any potential penalties or delays in the estate settlement process. Timely filing also ensures that any estate taxes due can be addressed in a timely manner.

What happens if I need to amend the Arizona 74 form?

If you discover that you need to make changes after submitting the Arizona 74 form, you can file an amended report. Simply check the "Amended" box on the form and provide the updated information. Be sure to include an explanation for the changes and any supporting documentation as necessary. Filing an amended form helps ensure that the estate's information remains accurate and up-to-date.

Where do I submit the Arizona 74 form?

The completed Arizona 74 form should be mailed to the Estate Tax Unit at the Arizona Department of Revenue. The address is:

Estate Tax Unit,
Arizona Department of Revenue,
1600 W Monroe, Room 610,
Phoenix, AZ 85007-2650.

If you have questions or need assistance while completing the form, you can call the Department of Revenue at (602) 542-4643 or (800) 352-4090 for nationwide support.

Common mistakes

  1. Failure to Provide Accurate Information: Individuals often make mistakes by providing incorrect details about the decedent, such as the name, social security number, or date of death. These inaccuracies can lead to delays or complications in processing the form.

  2. Omitting Required Attachments: Many forget to attach a copy of the death certificate when submitting the original report. This document is essential for validating the information provided and is a requirement for the Arizona 74 form.

  3. Incorrectly Completing the Estate Assets Section: Errors frequently occur in Section III, where individuals may miscalculate the values of real estate, bank deposits, securities, and other assets. Inaccurate values can misrepresent the estate's worth.

  4. Neglecting to Indicate the Type of Waiver: Individuals often fail to specify the type of estate tax waiver they are requesting. This omission can lead to confusion and may delay the processing of the estate.

  5. Not Checking the Filing Status: Some filers neglect to indicate whether the report is an original or amended submission. This distinction is crucial for the Arizona Department of Revenue to process the form correctly.

  6. Inadequate Review Before Submission: Many individuals do not thoroughly review the completed form before sending it. This lack of diligence can result in overlooked errors or missing information that could impede the processing of the estate.

Documents used along the form

When dealing with the Arizona 74 form, there are several other documents that may be required to ensure a smooth process in managing a decedent's estate. Each of these documents serves a specific purpose and can help clarify various aspects of the estate's administration. Below is a list of commonly used forms and documents that complement the Arizona 74 form.

  • Death Certificate: This official document confirms the decedent's death and is often required when filing the Arizona 74 form. It provides essential information such as the date and cause of death.
  • Federal Estate Tax Return (Form 706 or 706NA): If the estate exceeds certain thresholds, this form must be filed with the IRS. It details the estate's value and any taxes owed.
  • Will: The decedent's will outlines how their assets should be distributed. It is crucial for determining the personal representative's authority and the beneficiaries' rights.
  • Letters Testamentary: This document is issued by the probate court, granting the personal representative the legal authority to manage the estate according to the will.
  • Inventory of Assets: A detailed list of all assets owned by the decedent at the time of death. This inventory helps in assessing the total value of the estate.
  • Notice to Creditors: This form is used to inform creditors of the decedent's death and provides them with an opportunity to make claims against the estate for any debts owed.
  • Affidavit of Heirship: This document can establish the heirs of the decedent if there is no will. It serves as proof of who is entitled to inherit the estate.

Having these documents prepared and organized can facilitate the estate administration process, making it easier for the personal representative to fulfill their duties. Each document plays a critical role in ensuring compliance with state laws and protecting the interests of the beneficiaries.

Similar forms

The Arizona 74 form, known as the Report of Personal Representative of Decedent, shares similarities with the IRS Form 706, the United States Estate (and Generation-Skipping Transfer) Tax Return. Both documents serve to report the value of an estate upon the death of an individual. The IRS Form 706 is required for federal estate tax purposes, while the Arizona 74 form addresses state-level requirements. Each form requires detailed information about the decedent's assets, liabilities, and the overall value of the estate, ensuring compliance with tax obligations at both federal and state levels.

Another document akin to the Arizona 74 form is the California Form 706, which is a state-specific estate tax return. Like the Arizona form, it is used to report the assets and liabilities of a decedent's estate. Both forms require the personal representative to provide a comprehensive overview of the estate's value, including real estate, bank accounts, and securities. The California form, however, is tailored to meet the specific regulations and tax laws of California, while the Arizona 74 form aligns with Arizona's legal requirements.

The Florida Form DR-219, the Florida Estate Tax Return, is also comparable to the Arizona 74 form. This document is filed to report the estate's value and determine any applicable estate taxes in Florida. Both forms necessitate a thorough accounting of the decedent's assets and liabilities. The Florida return, however, is designed to adhere to Florida's estate tax laws, which may differ from Arizona's regulations, thus reflecting the unique legal landscape of each state.

The New York State Form ET-706, the New York Estate Tax Return, bears similarities to the Arizona 74 form as well. Both forms require the personal representative to disclose the estate's total value and provide a detailed inventory of assets. The New York form is specifically structured to comply with New York's estate tax laws, which may include additional provisions not found in Arizona's form. Nevertheless, the fundamental purpose of both documents remains the same: to report the estate's value for tax assessment purposes.

The Texas Form 5.1, the Texas Estate Tax Return, also parallels the Arizona 74 form. This form is utilized to report the value of an estate and assess any estate tax obligations in Texas. Both forms require similar information regarding the decedent's assets, liabilities, and total estate value. However, the Texas form is tailored to meet the specific estate tax laws of Texas, reflecting the variations in tax regulations across different states.

The Illinois Form 700, the Illinois Estate Tax Return, is another document similar to the Arizona 74 form. Both forms require the personal representative to provide a comprehensive report of the decedent's estate, including all assets and liabilities. The Illinois form, however, is designed to comply with Illinois state tax laws, which may impose different tax rates and exemptions compared to Arizona's estate tax regulations.

The Massachusetts Form M-706, the Massachusetts Estate Tax Return, shares characteristics with the Arizona 74 form. Each form serves to report the estate's value and ensure compliance with state tax obligations. The Massachusetts form requires detailed information about the decedent's assets, similar to the Arizona 74 form. However, it is specifically designed to adhere to Massachusetts estate tax laws, which may include unique provisions and requirements.

The Pennsylvania Form REV-1500, the Pennsylvania Estate Tax Return, is also comparable to the Arizona 74 form. Both documents require a detailed inventory of the decedent's assets and liabilities to assess any applicable estate taxes. The Pennsylvania form is tailored to meet the specific regulations of Pennsylvania, which may differ from Arizona's laws. Despite these differences, the primary purpose of both forms remains consistent: to report the estate's value for tax assessment.

Finally, the Ohio Form ET-1, the Ohio Estate Tax Return, is similar to the Arizona 74 form in that both are used to report the value of an estate and assess any estate tax obligations. Each form requires the personal representative to provide a comprehensive overview of the decedent's assets. The Ohio form, however, is specifically designed to comply with Ohio's estate tax laws, reflecting the unique legal requirements of that state.

Dos and Don'ts

Filling out the Arizona Form 74 can be a crucial step in managing a decedent's estate. To ensure a smooth process, here are some important dos and don'ts to keep in mind:

  • Do read the instructions carefully before starting. Understanding the requirements can save you time and prevent mistakes.
  • Do provide accurate and complete information. Double-check names, numbers, and values to avoid delays.
  • Do attach a copy of the death certificate if this is an original report. This document is essential for verification.
  • Do consult with an attorney if you have questions. Seeking professional guidance can clarify complex issues.
  • Do submit the form on time. Meeting deadlines is crucial for compliance with state regulations.
  • Don't leave any sections blank. Incomplete forms can lead to processing delays.
  • Don't use abbreviations or shorthand. Clarity is key, so write everything out in full.
  • Don't forget to sign and date the form. An unsigned form is considered invalid.
  • Don't underestimate the importance of accuracy. Errors can result in legal complications or financial penalties.
  • Don't hesitate to reach out for help if you feel overwhelmed. It's perfectly okay to ask for assistance.

By following these guidelines, you can navigate the Arizona Form 74 with confidence and ease. Remember, careful preparation now can prevent headaches later on.

Misconceptions

The Arizona 74 form, officially known as the Report of Personal Representative of Decedent, is an important document in the estate administration process. However, several misconceptions can lead to confusion. Here are seven common misunderstandings about this form:

  • It is only for large estates. Many believe that the Arizona 74 form is only necessary for estates of significant value. In reality, it is required for all estates, regardless of size.
  • Filing the form is optional. Some individuals think that submitting this form is optional. However, it is mandatory for personal representatives to file this report with the Arizona Department of Revenue.
  • Only attorneys can complete the form. While attorneys often assist in the process, any personal representative can fill out the Arizona 74 form. It is essential for the representative to ensure accuracy and completeness.
  • Death certificates are not needed. A common misconception is that a death certificate is unnecessary. For original reports, attaching a copy of the death certificate is required.
  • The form is only for probate estates. Some believe that the Arizona 74 form is exclusively for probate estates. However, it applies to both probate and non-probate estates, depending on the assets involved.
  • All estate assets must be reported in detail. While it is crucial to report assets, some think that every single item must be itemized. The form allows for summaries, but accuracy in the total valuation is critical.
  • There is no deadline for filing. Many assume that they can file the form at their convenience. In truth, there are specific deadlines for filing the Arizona 74 form that must be adhered to in order to avoid penalties.

Understanding these misconceptions can help personal representatives navigate the estate administration process more effectively. It is always advisable to seek guidance if there are uncertainties regarding the form or its requirements.

Key takeaways

When preparing the Arizona Form 74, it is essential to keep several key points in mind. This form, known as the Report of Personal Representative of Decedent, is a critical document in the estate administration process. Here are some important takeaways:

  • Purpose of the Form: The Arizona Form 74 is used to report the estate's assets and liabilities, and it must be filed with the Arizona Department of Revenue.
  • Filing Location: Completed forms should be sent to the Estate Tax Unit at the Arizona Department of Revenue, located at 1600 W Monroe, Room 610, Phoenix, AZ 85007-2650.
  • Contact Information: For assistance, you can call (602) 542-4643 or (800) 352-4090, which is a nationwide toll-free number.
  • Original vs. Amended: You must indicate whether you are submitting an original report or an amended report by checking the appropriate box on the form.
  • Required Information: The form requires detailed information about the decedent, including their name, social security number, date of death, and residence.
  • Estate Valuation: Section I requires you to summarize the estate's total value by listing various asset types such as real estate, bank deposits, and securities.
  • Documentation: If this is an original report, you must attach a copy of the decedent's death certificate.
  • Federal Tax Return: Indicate whether a federal estate tax return (Form 706 or 706NA) is being filed by selecting "Yes" or "No."
  • Signature Requirement: The personal representative or attorney must sign and date the form, affirming the accuracy of the information provided.

Completing the Arizona Form 74 accurately is vital for ensuring compliance with state regulations and facilitating the smooth administration of the estate. Take your time to gather all necessary information and consult with professionals if needed.