Blank 153 Massachusetts PDF Form

Blank 153 Massachusetts PDF Form

The 153 Massachusetts form is an affidavit that allows certain corporate officers or directors to opt out of mandatory workers' compensation coverage under Massachusetts law. Specifically, it applies to those who own at least 25% of the corporation's stock and wish to waive their rights to benefits under the Massachusetts Workers' Compensation Act. Completing this form is crucial for eligible corporate officers to ensure compliance and avoid potential penalties; take action by filling out the form below.

The 153 Massachusetts form serves a crucial role for corporate officers and directors who own at least 25% of their corporation's stock. This form allows these individuals to opt out of mandatory workers' compensation coverage under Massachusetts law. By signing the form, they waive their rights to claim benefits for any injuries sustained while working for the corporation. However, this exemption only applies to the corporate officers or directors who meet the ownership requirement; any other employees must still be covered by a valid workers' compensation policy. The form must be submitted to the Department of Industrial Accidents (DIA) to officially invoke this exemption. It is important for corporations to understand that if they hire additional employees beyond the exempt officers or directors, they are required to obtain workers' compensation coverage for those employees. Each eligible corporate officer must sign the form and indicate whether they choose to exercise their right of exemption. Violations of the provisions outlined in the form can lead to penalties for the corporation, emphasizing the importance of compliance with the regulations set forth in Massachusetts General Laws. This form is not just a legal requirement; it is a significant document that affects the financial and operational aspects of a corporation.

Document Sample

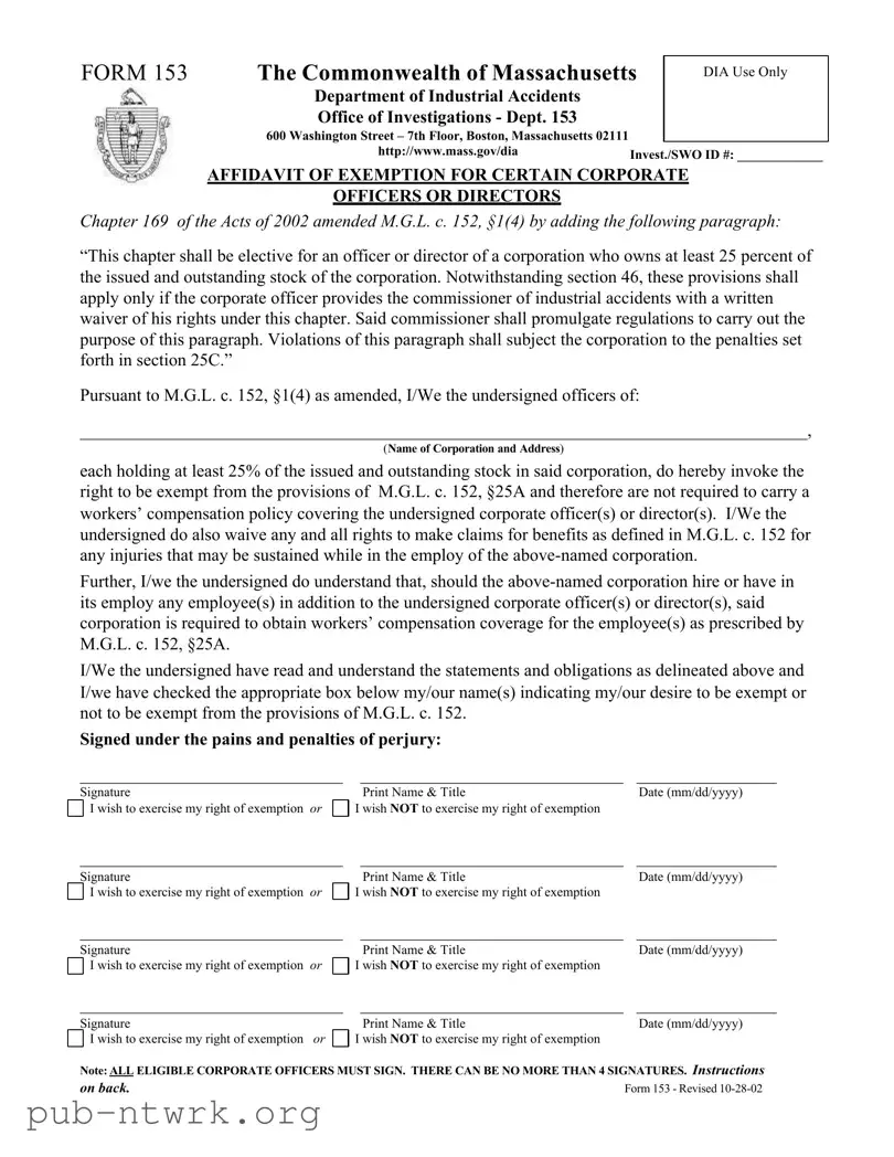
FORM 153

The Commonwealth of Massachusetts

DIA Use Only

 

Department of Industrial Accidents

 

 

 

Office of Investigations - Dept. 153

 

 

 

600 Washington Street – 7th Floor, Boston, Massachusetts 02111

 

 

 

http://www.mass.gov/dia

Invest./SWO ID #: _____________

 

 

AFFIDAVIT OF EXEMPTION FOR CERTAIN CORPORATE

OFFICERS OR DIRECTORS

Chapter 169 of the Acts of 2002 amended M.G.L. c. 152, §1(4) by adding the following paragraph:

“This chapter shall be elective for an officer or director of a corporation who owns at least 25 percent of the issued and outstanding stock of the corporation. Notwithstanding section 46, these provisions shall apply only if the corporate officer provides the commissioner of industrial accidents with a written waiver of his rights under this chapter. Said commissioner shall promulgate regulations to carry out the purpose of this paragraph. Violations of this paragraph shall subject the corporation to the penalties set forth in section 25C.”

Pursuant to M.G.L. c. 152, §1(4) as amended, I/We the undersigned officers of:

___________________________________________________________________________________,

(Name of Corporation and Address)

each holding at least 25% of the issued and outstanding stock in said corporation, do hereby invoke the right to be exempt from the provisions of M.G.L. c. 152, §25A and therefore are not required to carry a workers’ compensation policy covering the undersigned corporate officer(s) or director(s). I/We the undersigned do also waive any and all rights to make claims for benefits as defined in M.G.L. c. 152 for any injuries that may be sustained while in the employ of the above-named corporation.

Further, I/we the undersigned do understand that, should the above-named corporation hire or have in its employ any employee(s) in addition to the undersigned corporate officer(s) or director(s), said corporation is required to obtain workers’ compensation coverage for the employee(s) as prescribed by M.G.L. c. 152, §25A.

I/We the undersigned have read and understand the statements and obligations as delineated above and I/we have checked the appropriate box below my/our name(s) indicating my/our desire to be exempt or not to be exempt from the provisions of M.G.L. c. 152.

Signed under the pains and penalties of perjury:

______________________________

Signature

I wish to exercise my right of exemption or

______________________________

Signature

I wish to exercise my right of exemption or

______________________________

________________

Print Name & Title

Date (mm/dd/yyyy)

I wish NOT to exercise my right of exemption

 

______________________________

________________

Print Name & Title

Date (mm/dd/yyyy)

I wish NOT to exercise my right of exemption

 

______________________________

Signature

I wish to exercise my right of exemption or

______________________________

________________

Print Name & Title

Date (mm/dd/yyyy)

I wish NOT to exercise my right of exemption

 

______________________________

Signature

I wish to exercise my right of exemption or

______________________________

________________

Print Name & Title

Date (mm/dd/yyyy)

I wish NOT to exercise my right of exemption

 

Note: ALL ELIGIBLE CORPORATE OFFICERS MUST SIGN. THERE CAN BE NO MORE THAN 4 SIGNATURES. INSTRUCTIONS

ON BACK.

Form 153 - Revised 10-28-02

PURPOSE & INSTRUCTIONS

Pursuant to M.G.L. c. 152, §1(4) workers’ compensation insurance “...shall be elective for an officer or director of a corporation who owns at least 25% of the issued and outstanding stock of said corporation. Notwithstanding the provisions of section 46 of this chapter, these provisions shall apply only if said corporate officer provides the Commissioner of the Department of Industrial Accidents with a written waiver of his rights under this chapter. The Commissioner of the Department of Industrial Accidents shall promulgate regulations to carry out the purpose of this subsection. Violations of the terms of these provisions in any way shall subject said corporation to the penalties set forth under section 25C of this chapter.”

Therefore in accordance with M.G.L. c. 152, §1(4) and 452 CMR c. 8.00 et. seq.:

Such an exemption DOES NOT apply to employees of such a corporation who are not corporate officers. Those employees must be covered by a valid workers’ compensation policy at all times.

A copy of this form should be submitted to the insurance carrier on an annual basis, prior to the renewal of any existing policy, as affirmation that the statements contained herein remain in effect. If there has been ANY change in status of a corporate officer or director, a new Form 153 must be filed with the DIA and provided to the insurance carrier.

Any corporation in which the corporate officers or directors own at least 25% interest in the corporation may exercise their right to exempt said corporate officers or directors from the provisions of the Massachusetts Workers’ Compensation Act (M.G.L. c. 152).

If the corporation named on this form employs no persons other than the eligible corporate officer(s) or director(s) who have exercised their right of exemption by signing the Form 153, said corporation may legally operate without a workers’ compensation coverage. However, the corporation may not employ any person other than those corporate officers or directors who have exercised their right of exemption by signing the Form153. Should the corporation hire additional employees, workers’ compensation coverage must be obtained for those employees.

The completed Form 153 must be submitted to the Department of Industrial Accidents, Office of Investigations for the exemption under M.G.L. c. 152, §1(4) to be invoked.

The policies and procedures surrounding the exemption of a corporate officer or director are governed by 452 CMR 8.06 et. seq.

If your corporation is submitting this form in response to a notice or Stop Work Order (SWO) from the DIA Office of Investigations, please write the Investigation ID Number or Stop Work Order Number on that correspondence on the space provided in upper right hand corner of the front of this form.

Instructions -

All eligible corporate officers must sign the form and indicate their choice to be exempt or not to be exempt from the provisions of M.G.L. c. 152 by checking the appropriate box located under their name and signature. Complete all information on the front of the form and submit it to:

Department of Industrial Accidents Office of Investigations - Dept. 153 600 Washington Street, 7th Floor Boston, MA 02111

For additional information visit our web site at <www.mass.gov/dia>. See 452 CMR c. 8.00 et. seq.

Form 153 - Revised 10-28-02

File Specifics

Fact Name Fact Description
Governing Law The form is governed by M.G.L. c. 152, §1(4) and 452 CMR 8.00 et seq.
Purpose This affidavit allows corporate officers or directors owning at least 25% of stock to opt-out of workers' compensation coverage.
Eligibility Only corporate officers or directors who own at least 25% of the corporation's stock can file this form.
Employee Coverage Corporations must still provide workers' compensation for employees who are not corporate officers or directors.
Submission Requirement The completed form must be submitted to the Department of Industrial Accidents to invoke the exemption.
Annual Renewal A copy of this form should be submitted to the insurance carrier annually before policy renewal.
Signature Requirement All eligible corporate officers must sign the form; a maximum of four signatures is allowed.
Penalties for Violation Violating the provisions can result in penalties as outlined in M.G.L. c. 152, §25C.

How to Use 153 Massachusetts

Filling out Form 153 is an important step for corporate officers or directors who wish to exempt themselves from certain provisions of Massachusetts workers’ compensation laws. Completing this form accurately and submitting it on time is essential to ensure compliance with state regulations.

  1. Obtain a copy of Form 153 from the Massachusetts Department of Industrial Accidents website or your legal advisor.
  2. Fill in the name and address of your corporation at the top of the form.
  3. Identify yourself and any other eligible corporate officers or directors who own at least 25% of the issued and outstanding stock of the corporation.
  4. Each officer or director must sign the form, indicating their desire to either exercise their right of exemption or not. Check the appropriate box under each signature.
  5. Print the name and title of each signer in the designated areas.
  6. Include the date of signing in the format of mm/dd/yyyy for each officer or director.
  7. Ensure that all eligible corporate officers have signed the form; there should be no more than four signatures.
  8. Submit the completed form to the Department of Industrial Accidents, Office of Investigations at the address provided on the form.
  9. Keep a copy of the submitted form for your records and provide a copy to your insurance carrier annually, prior to policy renewal.

Once the form is submitted, the Department of Industrial Accidents will process it. Make sure to monitor any correspondence from them and stay informed about any changes in your corporate structure that may require a new submission of Form 153.

Your Questions, Answered

What is the purpose of Form 153 in Massachusetts?

Form 153 is an affidavit that allows certain corporate officers or directors who own at least 25% of a corporation's stock to exempt themselves from the requirement of carrying workers' compensation insurance. By signing this form, they waive their rights to benefits under the Massachusetts Workers' Compensation Act.

Who is eligible to use Form 153?

Eligibility for Form 153 is limited to corporate officers or directors who own at least 25% of the issued and outstanding stock of the corporation. Only those individuals can invoke the right to be exempt from workers' compensation insurance requirements.

What happens if a corporation hires employees in addition to the exempt officers or directors?

If the corporation employs individuals other than the exempt officers or directors, it must obtain workers' compensation insurance for those employees. The exemption only applies if the corporation has no employees other than the exempt individuals.

How often should Form 153 be submitted?

A copy of Form 153 should be submitted to the corporation's insurance carrier annually, prior to the renewal of any existing workers' compensation policy. This ensures that the insurance carrier is aware of the current status of the corporate officers or directors.

What are the consequences of not filing Form 153 correctly?

If Form 153 is not filed correctly, or if there are violations of the exemption provisions, the corporation may face penalties as outlined in section 25C of the Massachusetts Workers' Compensation Act. This could result in financial repercussions for the corporation.

Can a corporation have more than four signatures on Form 153?

No, Form 153 allows for a maximum of four signatures from eligible corporate officers or directors. All eligible individuals must sign the form to invoke the exemption.

What should be done if there is a change in the status of a corporate officer or director?

If there is any change in the status of a corporate officer or director, a new Form 153 must be filed with the Department of Industrial Accidents (DIA) and provided to the insurance carrier. This ensures that the exemption remains valid and up to date.

Is it necessary for all eligible corporate officers to sign the form?

Yes, all eligible corporate officers must sign Form 153 to invoke the exemption. Their signatures indicate their understanding and agreement to waive their rights to workers' compensation benefits.

Where should Form 153 be submitted?

Completed Form 153 should be submitted to the Department of Industrial Accidents, Office of Investigations, located at 600 Washington Street, 7th Floor, Boston, MA 02111. This is necessary for the exemption to be officially recognized.

What if the corporation is responding to a Stop Work Order?

If the corporation is submitting Form 153 in response to a Stop Work Order from the DIA, it is important to include the Investigation ID Number or Stop Work Order Number in the designated space on the form. This helps the DIA link the submission to the specific order.

Common mistakes

  1. Not providing the correct corporation name and address. Ensure that the name of the corporation and its address are accurately filled in. Missing or incorrect information can delay processing.

  2. Failing to check the exemption box. Each corporate officer must indicate whether they wish to exercise their right of exemption. Forgetting to check the appropriate box can lead to confusion.

  3. Not having all eligible corporate officers sign. All corporate officers who qualify must sign the form. If any signature is missing, the form may be rejected.

  4. Exceeding the signature limit. The form allows for a maximum of four signatures. Including more than four can invalidate the submission.

  5. Incorrectly dating the form. Each officer must provide the date in the correct format (mm/dd/yyyy). An incorrect date can cause issues with the form's validity.

  6. Not submitting the form on time. It is important to submit the form annually before the renewal of any existing policy. Late submissions may not be honored.

  7. Ignoring changes in corporate status. If there are any changes in the status of corporate officers, a new Form 153 must be filed. Failing to do so can lead to penalties.

  8. Not providing the Investigation ID or SWO number. If submitting in response to a notice or Stop Work Order, include the Investigation ID or Stop Work Order Number in the designated area.

  9. Not keeping a copy for records. Always keep a copy of the completed form for your records. This can be useful for future reference or in case of disputes.

Documents used along the form

The Form 153, also known as the Affidavit of Exemption for Certain Corporate Officers or Directors, is a document used in Massachusetts to exempt eligible corporate officers or directors from the requirement of carrying workers' compensation insurance. This form is often accompanied by other documents that may be necessary for compliance with state regulations or for the proper functioning of a corporation. Below is a list of related forms and documents that may be utilized alongside Form 153.

  • Workers' Compensation Policy: This is a contract between an employer and an insurance company that provides coverage for employees in the event of work-related injuries or illnesses. If a corporation hires employees other than the exempt officers or directors, it must obtain this policy.
  • Notice of Stop Work Order (SWO): This document is issued by the Department of Industrial Accidents (DIA) when a corporation is found to be non-compliant with workers' compensation laws. It requires immediate action to rectify the situation.
  • Form 102: This is a report used to provide information regarding workplace injuries or illnesses. It is often required for filing claims and documenting incidents that occur in the workplace.
  • Form 130: This form is used for filing a claim for benefits under the Massachusetts Workers' Compensation Act. Employees may use this form to seek compensation for work-related injuries.
  • Employer's First Report of Injury (FROI): This report is submitted to the insurance carrier and the DIA when an employee is injured on the job. It provides initial details about the injury and is essential for processing claims.
  • Form 140: This is a form used by employers to report their workers' compensation insurance coverage to the DIA. It helps ensure compliance with state regulations.
  • Form 101: This document is used to notify the DIA of any changes in a corporation's status or ownership that may affect workers' compensation coverage.
  • Annual Payroll Report: This report details the payroll of a corporation for the year. It is often required by insurance carriers to determine premium rates for workers' compensation insurance.

Each of these documents plays a crucial role in ensuring compliance with Massachusetts workers' compensation laws and maintaining proper insurance coverage for employees. It is important for corporations to be aware of these forms and to use them appropriately to avoid penalties and ensure the safety and well-being of their employees.

Similar forms

The Massachusetts Form 153, which serves as an Affidavit of Exemption for certain corporate officers or directors from workers' compensation insurance, shares similarities with the IRS Form 8832. Both documents allow entities to make important elections regarding their tax status or coverage obligations. While Form 153 permits corporate officers who own a significant portion of stock to opt-out of workers' compensation requirements, Form 8832 enables businesses to elect how they will be classified for federal tax purposes. Each form requires signatures and declarations that confirm the understanding of the implications of the election made, ensuring that all involved parties are aware of their rights and responsibilities.

Another document akin to Form 153 is the Workers' Compensation Waiver Form, often utilized in various states. This form allows certain individuals, such as business owners or partners, to waive their rights to claim workers' compensation benefits. Similar to the Massachusetts Form 153, it emphasizes the necessity of understanding the consequences of waiving these rights. Both documents require signatories to acknowledge their decision and provide a clear statement of their intent, reinforcing the importance of informed consent in matters of liability and coverage.

The Corporate Resolution Form is also comparable to Form 153, as it serves as a formal declaration by a corporation's board of directors or shareholders regarding specific decisions. In the context of Form 153, the resolution would be the decision to exempt certain officers from workers' compensation coverage. Both documents require signatures and are intended to provide a record of corporate governance decisions. They ensure that all corporate actions are documented and can be referenced in the future, highlighting the structured nature of corporate compliance.

Additionally, the Certificate of Exemption from Workers' Compensation Insurance is another document with a similar purpose. This certificate allows businesses to demonstrate that they are exempt from carrying workers' compensation insurance under specific conditions. Like Form 153, it requires detailed information about the corporation and the individuals seeking exemption. Both documents aim to clarify the status of coverage for corporate officers or directors, ensuring compliance with state regulations while protecting the rights of those involved.

Lastly, the Application for a Business License often bears similarities to Form 153 in that it requires specific information about the business and its owners. While the primary focus of the business license application is to secure permission to operate legally, it also includes disclosures regarding compliance with various regulations, including insurance requirements. Both forms necessitate accurate information and signatures, reinforcing the importance of transparency and accountability in business operations. They serve as essential tools for regulatory compliance and risk management within the corporate framework.

Dos and Don'ts

When filling out the Massachusetts Form 153, there are several important guidelines to follow. Here’s a concise list of what to do and what to avoid:

  • Do read the instructions carefully before starting the form.
  • Do ensure that all eligible corporate officers sign the form.
  • Do check the appropriate box indicating whether you wish to exercise your right of exemption.
  • Do provide accurate information about the corporation, including its name and address.
  • Do submit the form to the Department of Industrial Accidents promptly.
  • Don't leave any required fields blank; complete all sections of the form.
  • Don't forget to submit a new Form 153 if there are any changes in the corporate officer's status.

Following these guidelines will help ensure that the form is completed correctly and processed without delays.

Misconceptions

Understanding the 153 Massachusetts form can be tricky, especially with the many misconceptions that surround it. Here’s a list of common misunderstandings to help clarify the purpose and use of this important document.

  • Misconception 1: Only large corporations can use Form 153.
  • This form is available to any corporation where officers or directors own at least 25% of the stock, regardless of the corporation's size.

  • Misconception 2: Signing Form 153 means no one in the corporation is covered by workers' compensation.
  • Only the officers or directors who sign the form are exempt. Any other employees must still be covered by a valid workers' compensation policy.

  • Misconception 3: Once you file Form 153, you never have to file again.
  • That’s not true! If there’s any change in the status of a corporate officer or director, a new Form 153 must be filed.

  • Misconception 4: Corporate officers can automatically exempt themselves from workers' compensation.
  • Exemption is not automatic. Officers must provide a written waiver of their rights and meet the ownership criteria to qualify.

  • Misconception 5: Form 153 can be submitted at any time without consequences.
  • It should be submitted annually, prior to renewing any existing policy, to affirm that the exemption status remains unchanged.

  • Misconception 6: Corporations can hire employees without worrying about workers' compensation if they file Form 153.
  • Not so! If a corporation hires employees beyond the exempt officers or directors, they must obtain workers' compensation coverage for those employees.

  • Misconception 7: The form can be submitted without signatures from all eligible corporate officers.
  • All eligible corporate officers must sign the form for it to be valid. There can be no more than four signatures on a single Form 153.

Clearing up these misconceptions can help ensure that corporations comply with Massachusetts workers' compensation laws while taking advantage of available exemptions. Always consult with a professional if you have specific questions or concerns regarding your situation.

Key takeaways

When navigating the 153 Massachusetts form, understanding its purpose and requirements is crucial for corporate officers and directors. Here are four key takeaways:

  • Eligibility for Exemption: Only corporate officers or directors who own at least 25% of the corporation's stock can invoke the exemption from workers' compensation coverage.
  • Annual Submission: Corporations must submit a copy of the completed form to their insurance carrier annually, reaffirming that the exemption status remains unchanged.
  • Employee Coverage Requirement: If the corporation hires employees beyond the exempt officers or directors, it must secure workers' compensation coverage for those employees.
  • Submission to DIA: The completed form must be sent to the Department of Industrial Accidents to officially invoke the exemption under Massachusetts law.

Understanding these aspects will help ensure compliance and protect the interests of both the corporation and its officers.